



Abstract:Personalized search represents a problem where retrieval models condition on historical user interaction data in order to improve retrieval results. However, personalization is commonly perceived as opaque and not amenable to control by users. Further, personalization necessarily limits the space of items that users are exposed to. Therefore, prior work notes a tension between personalization and users' ability for discovering novel items. While discovery of novel items in personalization setups may be resolved through search result diversification, these approaches do little to allow user control over personalization. Therefore, in this paper, we introduce an approach for controllable personalized search. Our model, CtrlCE presents a novel cross-encoder model augmented with an editable memory constructed from users historical items. Our proposed memory augmentation allows cross-encoder models to condition on large amounts of historical user data and supports interaction from users permitting control over personalization. Further, controllable personalization for search must account for queries which don't require personalization, and in turn user control. For this, we introduce a calibrated mixing model which determines when personalization is necessary. This allows system designers using CtrlCE to only obtain user input for control when necessary. In multiple datasets of personalized search, we show CtrlCE to result in effective personalization as well as fulfill various key goals for controllable personalized search.




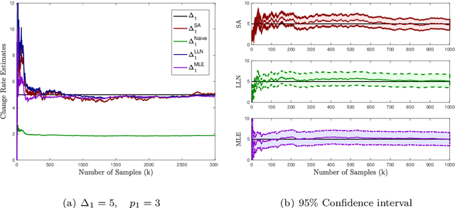
Abstract:For providing quick and accurate search results, a search engine maintains a local snapshot of the entire web. And, to keep this local cache fresh, it employs a crawler for tracking changes across various web pages. It would have been ideal if the crawler managed to update the local snapshot as soon as a page changed on the web. However, finite bandwidth availability and server restrictions mean that there is a bound on how frequently the different pages can be crawled. This then brings forth the following optimisation problem: maximise the freshness of the local cache subject to the crawling frequency being within the prescribed bounds. Recently, tractable algorithms have been proposed to solve this optimisation problem under different cost criteria. However, these assume the knowledge of exact page change rates, which is unrealistic in practice. We address this issue here. Specifically, we provide three novel schemes for online estimation of page change rates. All these schemes only need partial information about the page change process, i.e., they only need to know if the page has changed or not since the last crawl instance. Our first scheme is based on the law of large numbers, the second on the theory of stochastic approximation, while the third is an extension of the second and involves an additional momentum term. For all of these schemes, we prove convergence and, also, provide their convergence rates. As far as we know, the results concerning the third estimator is quite novel. Specifically, this is the first convergence type result for a stochastic approximation algorithm with momentum. Finally, we provide some numerical experiments (on real as well as synthetic data) to compare the performance of our proposed estimators with the existing ones (e.g., MLE).



Abstract:For providing quick and accurate results, a search engine maintains a local snapshot of the entire web. And, to keep this local cache fresh, it employs a crawler for tracking changes across various web pages. However, finite bandwidth availability and server restrictions impose some constraints on the crawling frequency. Consequently, the ideal crawling rates are the ones that maximise the freshness of the local cache and also respect the above constraints. Azar et al. 2018 recently proposed a tractable algorithm to solve this optimisation problem. However, they assume the knowledge of the exact page change rates, which is unrealistic in practice. We address this issue here. Specifically, we provide two novel schemes for online estimation of page change rates. Both schemes only need partial information about the page change process, i.e., they only need to know if the page has changed or not since the last crawled instance. For both these schemes, we prove convergence and, also, derive their convergence rates. Finally, we provide some numerical experiments to compare the performance of our proposed estimators with the existing ones (e.g., MLE).