



Abstract:Integrated sensing and communication (ISAC) enables radio systems to simultaneously sense and communicate with their environment. This paper, developed within the Hexa-X-II project funded by the European Union, presents a comprehensive cross-layer vision for ISAC in 6G networks, integrating insights from physical-layer design, hardware architectures, AI-driven intelligence, and protocol-level innovations. We begin by revisiting the foundational principles of ISAC, highlighting synergies and trade-offs between sensing and communication across different integration levels. Enabling technologies, such as multiband operation, massive and distributed MIMO, non-terrestrial networks, reconfigurable intelligent surfaces, and machine learning, are analyzed in conjunction with hardware considerations including waveform design, synchronization, and full-duplex operation. To bridge implementation and system-level evaluation, we introduce a quantitative cross-layer framework linking design parameters to key performance and value indicators. By synthesizing perspectives from both academia and industry, this paper outlines how deeply integrated ISAC can transform 6G into a programmable and context-aware platform supporting applications from reliable wireless access to autonomous mobility and digital twinning.
Abstract:The study of 5G base station antenna array performance for self-interference reduction is derived. The line of sight signal channel model and Rayleigh channel model are developed. The relevant calculations for channel capacities are shown. This is the pre-material for this study. More results and conclusions will be presented soon.




Abstract:This paper introduces a novel approach to experimentally characterize effective human skin permittivity at sub-Terahertz (sub-THz) frequencies, specifically from $140$~to $210$~GHz, utilizing a quasi-optical measurement system. To ensure accurate measurement of the reflection coefficients of human skin, a planar, rigid, and thick reference plate with a low-loss dielectric is utilized to flatten the human skin surface. A permittivity characterization method is proposed to reduce permittivity estimation deviations resulting from the pressure effects on the phase displacements of skins under the measurements but also to ensure repeatability of the measurement. In practical permittivity characterizations, the complex permittivities of the finger, palm, and arm of seven volunteers show small standard deviations for the repeated measurements, respectively, while those show significant variations across different regions of the skins and for different persons. The proposed measurement system holds significant potential for future skin permittivity estimation in sub-THz bands, facilitating further studies on human-electromagnetic-wave interactions based on the measured permittivity values.
Abstract:This manuscript proposes a method for characterizing the complex permittivity of the human finger skin based on an open-ended waveguide covered with a thin dielectric sheet at sub-terahertz frequencies. The measurement system is initially analyzed through full-wave simulations with a detailed finger model. Next, the model is simplified by replacing the finger with an infinite sheet of human skin to calculate the forward electromagnetic problem related to the permittivity characterization. Following this, a radial basis network is employed to train the inverse problem solver. Finally, the complex permittivities of finger skins are characterized for 10 volunteers. The variations in complex relative permittivity across different individuals and skin regions are analyzed at 140~GHz, revealing a maximum deviation of $\pm 0.7$ for both the real and imaginary parts. Repeated measurements at the same location on the finger demonstrate good repeatability with a relative estimation uncertainty $<\pm 1\%$.
Abstract:This manuscript presents a novel method for characterizing the permittivities of low-loss dielectric slabs in sub-terahertz (sub-THz) frequencies, specifically above 100 GHz using a quasi-optical system. The algorithm is introduced with detailed derivations, and the measurement sensitivity is analyzed through simulations. Subsequently, the method's validity is established via simulations, demonstrating high accuracy (error 0.1% for the loss tangent) for a 30 mm thick plate material and relatively lower accuracy (error <5% for the loss tangent) for a 6 mm thick plate material. Notably, this accuracy surpasses that of the approach presented in [1] when the same window width is used to extract signals. Furthermore, a comparison between the permittivities of plexiglass with a 30 mm thickness characterized by the proposed method and the approach in [1] reveals a maximum difference in the dielectric constant of 0.011 and in loss tangent of 0.00071 from 140 to 220 GHz. Finally, the relative complex permittivities of plexiglass at 142.86 GHz obtained by both methods are compared with the reference values provided in [2], exhibiting differences of 0.06 in the dielectric constant.




Abstract:Millimeter-wave (mmWave) and D Band (110--170~GHz) frequencies are poised to play a pivotal role in the advancement of sixth-generation (6G) systems and beyond, owing to their ability to enhance performance metrics such as capacity, ultra-low latency, and spectral efficiency. This paper concentrates on deriving statistical insights into power, delay, and the number of paths based on measurements conducted across four distinct locations at a center frequency of 143.1 GHz. The findings underscore the suitability of various distributions in characterizing power behavior in line-of-sight (LOS) scenarios, including lognormal, Nakagami, gamma, and beta distributions, whereas the loglogistic distribution gives the optimal fit for power distribution in non-line-of-sight (NLOS) scenarios. Moreover, the exponential distribution shows to be the most appropriate model for the delay distribution in both LOS and NLOS scenarios. In terms of the number of paths, observations indicate a tendency for the highest concentration within the 10 m to 30 m distance range between the transmitter (Tx) and receiver (Rx). These insights shed light on the statistical nature of D band propagation characteristics, which are vital for informing the design and optimization of future 6G communication systems




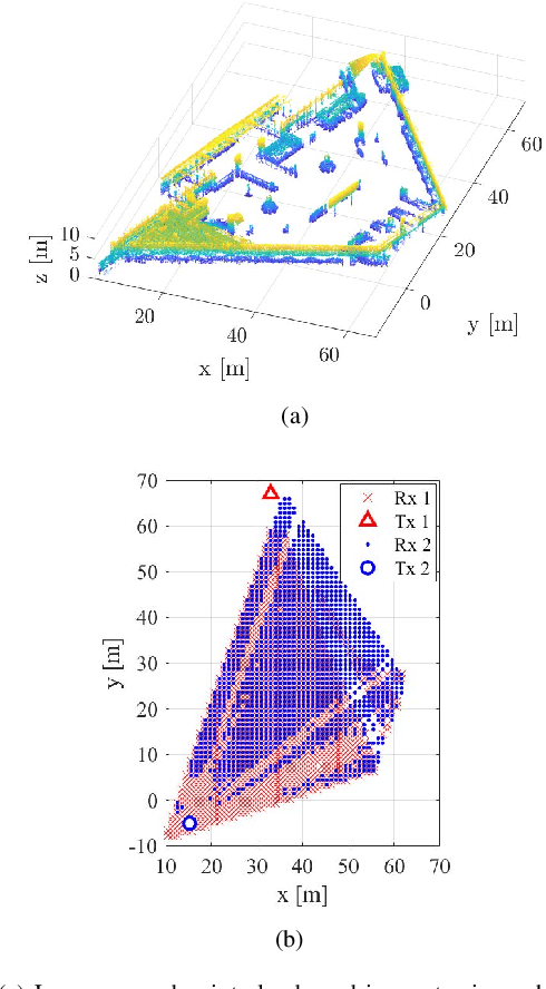
Abstract:Radio wave propagation simulations based on the ray-optical approximation have been widely adopted in coverage analysis for a range of situations, including the outdoor-to-indoor (O2I) scenario. In this work we present O2I ray-tracer simulations utilizing a complete building floor plan in the form of a point cloud. The ray-tracing simulation results are compared to measured channels at 4 and 14 GHz in terms of large scale parameters, namely path loss, delay spread and angular spread. In this work we address the importance of 1) interior walls and propagation paths originating therein, and 2) site-specific knowledge of window structure in accurately reproducing the O2I channel, particularly the presence of a thin insulating metal film on the windows. The best agreement between measurements and simulations was observed for the most detailed simulation. For both frequencies a mean error of less than 1.5 dB is reached for path loss, and a relative error of less than 10% for delay and angular spreads. Not including the metal film in simulations increases error of estimated building entry loss considerably, whereas absence of interior walls is detrimental to reproduction of large scale parameters.




Abstract:The rollout of millimeter-wave (mmWave) cellular network enables us to realize the full potential of 5G/6G with vastly improved throughput and ultra-low latency. MmWave communication relies on highly directional transmission, which significantly increase the training overhead for fine beam alignment. The concept of using out-of-band spatial information to aid mmWave beam search is developed when multi-band systems operating in parallel. The feasibility of leveraging low-band channel information for coarse estimation of high-band beam directions strongly depends on the spatial congruence between two frequency bands. In this paper, we try to provide insights into the answers of two important questions. First, how similar is the power angular spectra (PAS) of radio channels between two well-separated frequency bands? Then, what is the impact of practical system configurations on spatial channel similarity? Specifically, the beam direction-based metric is proposed to measure the power loss and number of false directions if out-of-band spatial information is used instead of in-band information. This metric is more practical and useful than comparing normalized PAS directly. Point cloud ray-tracing and measurement results across multiple frequency bands and environments show that the degree of spatial similarity of beamformed channels is related to antenna beamwidth, frequency gap, and radio link conditions.




Abstract:Penetration of cellphones into markets requires their robust operation in time-varying radio environments, especially for millimeter-wave communications. Hands and fingers of a human cause significant changes in the physical environments of cellphones, which influence the communication qualities to a large extent. In this paper, electromagnetic models of real hands and cellphone antennas are developed, and their efficacy is verified through measurements for the first time in the literature. Referential cellphone antenna arrays at $28$ and $39$~GHz are designed. Their radiation properties are evaluated through near-field scanning of the two prototypes, first in free space for calibration of the antenna measurement system and for building simplified models of the cellphone arrays. Next, radiation measurements are set up with real hands so that they are compared with electromagnetic simulations of the interaction between hands and simplified models of the arrays. The comparison showed a close agreement in terms of spherical coverage, indicating the efficacy of the hand and antenna array models along with the measurement approach. The repeatability of the measurements is $0.5$~dB difference in terms of cumulative distributions of the spherical coverage at the median level.




Abstract:The importance of indoor mobile connectivity has increased during the last years, especially during the Covid-19 pandemic. In contrast, new energy-efficient buildings contain structures like low-emissive widows and multi-layered thermal insulations which all block radio signals effectively. To solve this problem with indoor connectivity, we study passive antenna systems embedded in walls of low-energy buildings. We provide analytical models of a load bearing wall along with numerical and empirical evaluations of ultrawideband back-to-back antenna spiral antenna system in terms of electromagnetic- and thermal insulation. The antenna systems are optimized to operate well when embedded into load bearing walls. Unit cell models of the antenna embedded load bearing wall, which are called {\it signal-transmissive walls} in this paper, are developed to analyze their electromagnetic and thermal insulation properties. We show that our signal-transmissive wall improves the electromagnetic transmission compared to a raw load bearing wall over a wide bandwidth of 3-8 GHz, covering most of the new radio frequency range 1 (NR FR1), without compromising the thermal insulation capability of the wall demanded by the building regulation.