



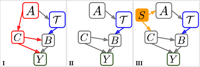
Abstract:Understanding what leads to effective conversations can aid the design of better computer-mediated communication platforms. In particular, prior observational work has sought to identify behaviors of individuals that correlate to their conversational efficiency. However, translating such correlations to causal interpretations is a necessary step in using them in a prescriptive fashion to guide better designs and policies. In this work, we formally describe the problem of drawing causal links between conversational behaviors and outcomes. We focus on the task of determining a particular type of policy for a text-based crisis counseling platform: how best to allocate counselors based on their behavioral tendencies exhibited in their past conversations. We apply arguments derived from causal inference to underline key challenges that arise in conversational settings where randomized trials are hard to implement. Finally, we show how to circumvent these inference challenges in our particular domain, and illustrate the potential benefits of an allocation policy informed by the resulting prescriptive information.

Abstract:This paper describes the design and functionality of ConvoKit, an open-source toolkit for analyzing conversations and the social interactions embedded within. ConvoKit provides an unified framework for representing and manipulating conversational data, as well as a large and diverse collection of conversational datasets. By providing an intuitive interface for exploring and interacting with conversational data, this toolkit lowers the technical barriers for the broad adoption of computational methods for conversational analysis.




Abstract:Throughout a conversation, participants make choices that can orient the flow of the interaction. Such choices are particularly salient in the consequential domain of crisis counseling, where a difficulty for counselors is balancing between two key objectives: advancing the conversation towards a resolution, and empathetically addressing the crisis situation. In this work, we develop an unsupervised methodology to quantify how counselors manage this balance. Our main intuition is that if an utterance can only receive a narrow range of appropriate replies, then its likely aim is to advance the conversation forwards, towards a target within that range. Likewise, an utterance that can only appropriately follow a narrow range of possible utterances is likely aimed backwards at addressing a specific situation within that range. By applying this intuition, we can map each utterance to a continuous orientation axis that captures the degree to which it is intended to direct the flow of the conversation forwards or backwards. This unsupervised method allows us to characterize counselor behaviors in a large dataset of crisis counseling conversations, where we show that known counseling strategies intuitively align with this axis. We also illustrate how our measure can be indicative of a conversation's progress, as well as its effectiveness.


Abstract:Mental health counseling is an enterprise with profound societal importance where conversations play a primary role. In order to acquire the conversational skills needed to face a challenging range of situations, mental health counselors must rely on training and on continued experience with actual clients. However, in the absence of large scale longitudinal studies, the nature and significance of this developmental process remain unclear. For example, prior literature suggests that experience might not translate into consequential changes in counselor behavior. This has led some to even argue that counseling is a profession without expertise. In this work, we develop a computational framework to quantify the extent to which individuals change their linguistic behavior with experience and to study the nature of this evolution. We use our framework to conduct a large longitudinal study of mental health counseling conversations, tracking over 3,400 counselors across their tenure. We reveal that overall, counselors do indeed change their conversational behavior to become more diverse across interactions, developing an individual voice that distinguishes them from other counselors. Furthermore, a finer-grained investigation shows that the rate and nature of this diversification vary across functionally different conversational components.




Abstract:One of the main challenges online social systems face is the prevalence of antisocial behavior, such as harassment and personal attacks. In this work, we introduce the task of predicting from the very start of a conversation whether it will get out of hand. As opposed to detecting undesirable behavior after the fact, this task aims to enable early, actionable prediction at a time when the conversation might still be salvaged. To this end, we develop a framework for capturing pragmatic devices---such as politeness strategies and rhetorical prompts---used to start a conversation, and analyze their relation to its future trajectory. Applying this framework in a controlled setting, we demonstrate the feasibility of detecting early warning signs of antisocial behavior in online discussions.




Abstract:Questions play a prominent role in social interactions, performing rhetorical functions that go beyond that of simple informational exchange. The surface form of a question can signal the intention and background of the person asking it, as well as the nature of their relation with the interlocutor. While the informational nature of questions has been extensively examined in the context of question-answering applications, their rhetorical aspects have been largely understudied. In this work we introduce an unsupervised methodology for extracting surface motifs that recur in questions, and for grouping them according to their latent rhetorical role. By applying this framework to the setting of question sessions in the UK parliament, we show that the resulting typology encodes key aspects of the political discourse---such as the bifurcation in questioning behavior between government and opposition parties---and reveals new insights into the effects of a legislator's tenure and political career ambitions.




Abstract:A community's identity defines and shapes its internal dynamics. Our current understanding of this interplay is mostly limited to glimpses gathered from isolated studies of individual communities. In this work we provide a systematic exploration of the nature of this relation across a wide variety of online communities. To this end we introduce a quantitative, language-based typology reflecting two key aspects of a community's identity: how distinctive, and how temporally dynamic it is. By mapping almost 300 Reddit communities into the landscape induced by this typology, we reveal regularities in how patterns of user engagement vary with the characteristics of a community. Our results suggest that the way new and existing users engage with a community depends strongly and systematically on the nature of the collective identity it fosters, in ways that are highly consequential to community maintainers. For example, communities with distinctive and highly dynamic identities are more likely to retain their users. However, such niche communities also exhibit much larger acculturation gaps between existing users and newcomers, which potentially hinder the integration of the latter. More generally, our methodology reveals differences in how various social phenomena manifest across communities, and shows that structuring the multi-community landscape can lead to a better understanding of the systematic nature of this diversity.




Abstract:Loyalty is an essential component of multi-community engagement. When users have the choice to engage with a variety of different communities, they often become loyal to just one, focusing on that community at the expense of others. However, it is unclear how loyalty is manifested in user behavior, or whether loyalty is encouraged by certain community characteristics. In this paper we operationalize loyalty as a user-community relation: users loyal to a community consistently prefer it over all others; loyal communities retain their loyal users over time. By exploring this relation using a large dataset of discussion communities from Reddit, we reveal that loyalty is manifested in remarkably consistent behaviors across a wide spectrum of communities. Loyal users employ language that signals collective identity and engage with more esoteric, less popular content, indicating they may play a curational role in surfacing new material. Loyal communities have denser user-user interaction networks and lower rates of triadic closure, suggesting that community-level loyalty is associated with more cohesive interactions and less fragmentation into subgroups. We exploit these general patterns to predict future rates of loyalty. Our results show that a user's propensity to become loyal is apparent from their first interactions with a community, suggesting that some users are intrinsically loyal from the very beginning.



Abstract:Public debates are a common platform for presenting and juxtaposing diverging views on important issues. In this work we propose a methodology for tracking how ideas flow between participants throughout a debate. We use this approach in a case study of Oxford-style debates---a competitive format where the winner is determined by audience votes---and show how the outcome of a debate depends on aspects of conversational flow. In particular, we find that winners tend to make better use of a debate's interactive component than losers, by actively pursuing their opponents' points rather than promoting their own ideas over the course of the conversation.




Abstract:Given the extremely large pool of events and stories available, media outlets need to focus on a subset of issues and aspects to convey to their audience. Outlets are often accused of exhibiting a systematic bias in this selection process, with different outlets portraying different versions of reality. However, in the absence of objective measures and empirical evidence, the direction and extent of systematicity remains widely disputed. In this paper we propose a framework based on quoting patterns for quantifying and characterizing the degree to which media outlets exhibit systematic bias. We apply this framework to a massive dataset of news articles spanning the six years of Obama's presidency and all of his speeches, and reveal that a systematic pattern does indeed emerge from the outlet's quoting behavior. Moreover, we show that this pattern can be successfully exploited in an unsupervised prediction setting, to determine which new quotes an outlet will select to broadcast. By encoding bias patterns in a low-rank space we provide an analysis of the structure of political media coverage. This reveals a latent media bias space that aligns surprisingly well with political ideology and outlet type. A linguistic analysis exposes striking differences across these latent dimensions, showing how the different types of media outlets portray different realities even when reporting on the same events. For example, outlets mapped to the mainstream conservative side of the latent space focus on quotes that portray a presidential persona disproportionately characterized by negativity.