Abstract:We present a deep learning model for high-resolution probabilistic precipitation forecasting over an 8-hour horizon in Europe, overcoming the limitations of radar-only deep learning models with short forecast lead times. Our model efficiently integrates multiple data sources - including radar, satellite, and physics-based numerical weather prediction (NWP) - while capturing long-range interactions, resulting in accurate forecasts with robust uncertainty quantification through consistent probabilistic maps. Featuring a compact architecture, it enables more efficient training and faster inference than existing models. Extensive experiments demonstrate that our model surpasses current operational NWP systems, extrapolation-based methods, and deep-learning nowcasting models, setting a new standard for high-resolution precipitation forecasting in Europe, ensuring a balance between accuracy, interpretability, and computational efficiency.
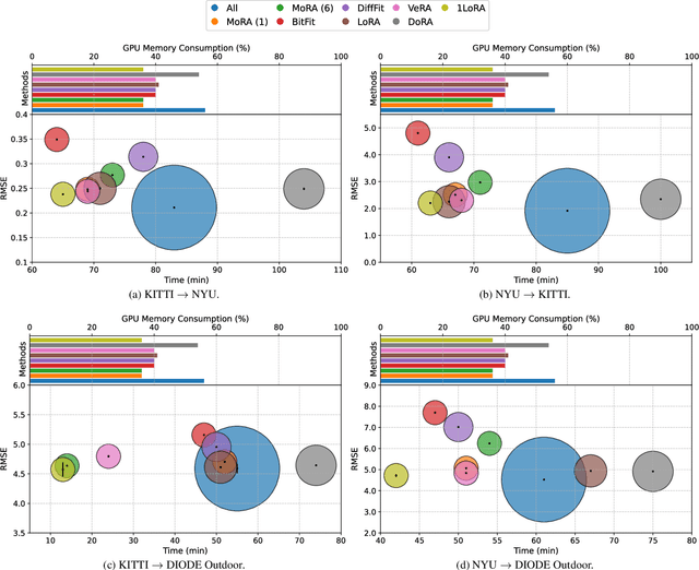
Abstract:Parameter-Efficient Fine-Tuning (PEFT) methods have transformed the approach to fine-tuning large models for downstream tasks by enabling the adjustment of significantly fewer parameters than those in the original model matrices. In this work, we study the "very low rank regime", where we fine-tune the lowest amount of parameters per linear layer for each considered PEFT method. We propose 1LoRA (Summation Low-Rank Adaptation), a compute, parameter and memory efficient fine-tuning method which uses the feature sum as fixed compression and a single trainable vector as decompression. Differently from state-of-the-art PEFT methods like LoRA, VeRA, and the recent MoRA, 1LoRA uses fewer parameters per layer, reducing the memory footprint and the computational cost. We extensively evaluate our method against state-of-the-art PEFT methods on multiple fine-tuning tasks, and show that our method not only outperforms them, but is also more parameter, memory and computationally efficient. Moreover, thanks to its memory efficiency, 1LoRA allows to fine-tune more evenly across layers, instead of focusing on specific ones (e.g. attention layers), improving performance further.




Abstract:LLMs make it easy to rewrite text in any style, be it more polite, persuasive, or more positive. We present a large-scale study of evaluation metrics for style and attribute transfer with a focus on content preservation; meaning content not attributed to the style shift is preserved. The de facto evaluation approach uses lexical or semantic similarity metrics often between source sentences and rewrites. While these metrics are not designed to distinguish between style or content differences, empirical meta-evaluation shows a reasonable correlation to human judgment. In fact, recent works find that LLMs prompted as evaluators are only comparable to semantic similarity metrics, even though intuitively, the LLM approach should better fit the task. To investigate this discrepancy, we benchmark 8 metrics for evaluating content preservation on existing datasets and additionally construct a new test set that better aligns with the meta-evaluation aim. Indeed, we then find that the empirical conclusion aligns with the intuition: content preservation metrics for style/attribute transfer must be conditional on the style shift. To support this, we propose a new efficient zero-shot evaluation method using the likelihood of the next token. We hope our meta-evaluation can foster more research on evaluating content preservation metrics, and also to ensure fair evaluation of methods for conducting style transfer.




Abstract:Hierarchical clustering is a powerful tool for exploratory data analysis, organizing data into a tree of clusterings from which a partition can be chosen. This paper generalizes these ideas by proving that, for any reasonable hierarchy, one can optimally solve any center-based clustering objective over it (such as $k$-means). Moreover, these solutions can be found exceedingly quickly and are themselves necessarily hierarchical. Thus, given a cluster tree, we show that one can quickly access a plethora of new, equally meaningful hierarchies. Just as in standard hierarchical clustering, one can then choose any desired partition from these new hierarchies. We conclude by verifying the utility of our proposed techniques across datasets, hierarchies, and partitioning schemes.




Abstract:Precipitation nowcasting is crucial across various industries and plays a significant role in mitigating and adapting to climate change. We introduce an efficient deep learning model for precipitation nowcasting, capable of predicting rainfall up to 8 hours in advance with greater accuracy than existing operational physics-based and extrapolation-based models. Our model leverages multi-source meteorological data and physics-based forecasts to deliver high-resolution predictions in both time and space. It captures complex spatio-temporal dynamics through temporal attention networks and is optimized using data quality maps and dynamic thresholds. Experiments demonstrate that our model outperforms state-of-the-art, and highlight its potential for fast reliable responses to evolving weather conditions.




Abstract:We introduce MOSCITO (MOlecular Dynamics Subspace Clustering with Temporal Observance), a subspace clustering for molecular dynamics data. MOSCITO groups those timesteps of a molecular dynamics trajectory together into clusters in which the molecule has similar conformations. In contrast to state-of-the-art methods, MOSCITO takes advantage of sequential relationships found in time series data. Unlike existing work, MOSCITO does not need a two-step procedure with tedious post-processing, but directly models essential properties of the data. Interpreting clusters as Markov states allows us to evaluate the clustering performance based on the resulting Markov state models. In experiments on 60 trajectories and 4 different proteins, we show that the performance of MOSCITO achieves state-of-the-art performance in a novel single-step method. Moreover, by modeling temporal aspects, MOSCITO obtains better segmentation of trajectories, especially for small numbers of clusters.




Abstract:We are exposed to much information trying to influence us, such as teaser messages, debates, politically framed news, and propaganda - all of which use persuasive language. With the recent interest in Large Language Models (LLMs), we study the ability of LLMs to produce persuasive text. As opposed to prior work which focuses on particular domains or types of persuasion, we conduct a general study across various domains to measure and benchmark to what degree LLMs produce persuasive text - both when explicitly instructed to rewrite text to be more or less persuasive and when only instructed to paraphrase. To this end, we construct a new dataset, Persuasive-Pairs, of pairs each consisting of a short text and of a text rewritten by an LLM to amplify or diminish persuasive language. We multi-annotate the pairs on a relative scale for persuasive language. This data is not only a valuable resource in itself, but we also show that it can be used to train a regression model to predict a score of persuasive language between text pairs. This model can score and benchmark new LLMs across domains, thereby facilitating the comparison of different LLMs. Finally, we discuss effects observed for different system prompts. Notably, we find that different 'personas' in the system prompt of LLaMA3 change the persuasive language in the text substantially, even when only instructed to paraphrase. These findings underscore the importance of investigating persuasive language in LLM generated text.




Abstract:Entity summarization aims to compute concise summaries for entities in knowledge graphs. Existing datasets and benchmarks are often limited to a few hundred entities and discard graph structure in source knowledge graphs. This limitation is particularly pronounced when it comes to ground-truth summaries, where there exist only a few labeled summaries for evaluation and training. We propose WikES, a comprehensive benchmark comprising of entities, their summaries, and their connections. Additionally, WikES features a dataset generator to test entity summarization algorithms in different areas of the knowledge graph. Importantly, our approach combines graph algorithms and NLP models as well as different data sources such that WikES does not require human annotation, rendering the approach cost-effective and generalizable to multiple domains. Finally, WikES is scalable and capable of capturing the complexities of knowledge graphs in terms of topology and semantics. WikES features existing datasets for comparison. Empirical studies of entity summarization methods confirm the usefulness of our benchmark. Data, code, and models are available at: https://github.com/msorkhpar/wiki-entity-summarization.




Abstract:This paper presents a solution to the Weather4Cast 2023 competition, where the goal is to forecast high-resolution precipitation with an 8-hour lead time using lower-resolution satellite radiance images. We propose a simple, yet effective method for spatiotemporal feature learning using a 2D U-Net model, that outperforms the official 3D U-Net baseline in both performance and efficiency. We place emphasis on refining the dataset, through importance sampling and dataset preparation, and show that such techniques have a significant impact on performance. We further study an alternative cross-entropy loss function that improves performance over the standard mean squared error loss, while also enabling models to produce probabilistic outputs. Additional techniques are explored regarding the generation of predictions at different lead times, specifically through Conditioning Lead Time. Lastly, to generate high-resolution forecasts, we evaluate standard and learned upsampling methods. The code and trained parameters are available at https://github.com/rafapablos/w4c23-rainai.




Abstract:tSNE and UMAP are popular dimensionality reduction algorithms due to their speed and interpretable low-dimensional embeddings. Despite their popularity, however, little work has been done to study their full span of differences. We theoretically and experimentally evaluate the space of parameters in both tSNE and UMAP and observe that a single one -- the normalization -- is responsible for switching between them. This, in turn, implies that a majority of the algorithmic differences can be toggled without affecting the embeddings. We discuss the implications this has on several theoretic claims behind UMAP, as well as how to reconcile them with existing tSNE interpretations. Based on our analysis, we provide a method (\ourmethod) that combines previously incompatible techniques from tSNE and UMAP and can replicate the results of either algorithm. This allows our method to incorporate further improvements, such as an acceleration that obtains either method's outputs faster than UMAP. We release improved versions of tSNE, UMAP, and \ourmethod that are fully plug-and-play with the traditional libraries at https://github.com/Andrew-Draganov/GiDR-DUN