



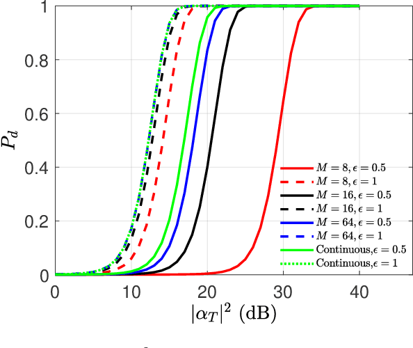
Abstract:We propose the LCB-CV-UNet to tackle performance degradation caused by High Dynamic Range (HDR) radar signals. Initially, a hardware-efficient, plug-and-play module named Logarithmic Connect Block (LCB) is proposed as a phase coherence preserving solution to address the inherent challenges in handling HDR features. Then, we propose the Dual Hybrid Dataset Construction method to generate a semi-synthetic dataset, approximating typical HDR signal scenarios with adjustable target distributions. Simulation results show about 1% total detection probability improvement with under 0.9% computational complexity added compared with the baseline. Furthermore, it excels 5% over the baseline at the range in 11-13 dB signal-to-noise ratio typical for urban targets. Finally, the real experiment validates the practicality of our model.




Abstract:This paper deals with the design of slow-time coded waveforms which jointly optimize the detection probability and the measurements accuracy for track maintenance in the presence of colored Gaussian interference. The output signal-to-interference-plus-noise ratio (SINR) and Cram\'er Rao bounds (CRBs) on time delay and Doppler shift are used as figures of merit to accomplish reliable detection as well as accurate measurements. The transmitted code is subject to radar power budget requirements and a similarity constraint. To tackle the resulting non-convex multi-objective optimization problem, a polynomial-time algorithm that integrates scalarization and tensor-based relaxation methods is developed. The corresponding relaxed multi-linear problems are solved by means of the maximum block improvement (MBI) framework, where the optimal solution at each iteration is obtained in closed form. Numeral results demonstrate the trade-off between the detection and the estimation performance, along with the acceptable Doppler robustness achieved by the proposed algorithm.




Abstract:This paper focuses on the joint synthesis of constant envelope transmit signal and receive filter aimed at optimizing radar performance in signal-dependent interference and spectrally contested-congested environments. To ensure the desired Quality of Service (QoS) at each communication system, a precise control of the interference energy injected by the radar in each licensed/shared bandwidth is imposed. Besides, along with an upper bound to the maximum transmitted energy, constant envelope (with either arbitrary or discrete phases) and similarity constraints are forced to ensure compatibility with amplifiers operating in saturation regime and bestow relevant waveform features, respectively. To handle the resulting NP-hard design problems, new iterative procedures (with ensured convergence properties) are devised to account for continuous and discrete phase constraints, capitalizing on the Coordinate Descent (CD) framework. Two heuristic procedures are also proposed to perform valuable initializations. Numerical results are provided to assess the effectiveness of the conceived algorithms in comparison with the existing methods.