



Abstract:An important component of unsupervised learning by instance-based discrimination is a memory bank for storing a feature representation for each training sample in the dataset. In this paper, we introduce 3 improvements to the vanilla memory bank-based formulation which brings massive accuracy gains: (a) Large mini-batch: we pull multiple augmentations for each sample within the same batch and show that this leads to better models and enhanced memory bank updates. (b) Consistency: we enforce the logits obtained by different augmentations of the same sample to be close without trying to enforce discrimination with respect to negative samples as proposed by previous approaches. (c) Hard negative mining: since instance discrimination is not meaningful for samples that are too visually similar, we devise a novel nearest neighbour approach for improving the memory bank that gradually merges extremely similar data samples that were previously forced to be apart by the instance level classification loss. Overall, our approach greatly improves the vanilla memory-bank based instance discrimination and outperforms all existing methods for both seen and unseen testing categories with cosine similarity.




Abstract:Facial actions are spatio-temporal signals by nature, and therefore their modeling is crucially dependent on the availability of temporal information. In this paper, we focus on inferring such temporal dynamics of facial actions when no explicit temporal information is available, i.e. from still images. We present a novel approach to capture multiple scales of such temporal dynamics, with an application to facial Action Unit (AU) intensity estimation and dimensional affect estimation. In particular, 1) we propose a framework that infers a dynamic representation (DR) from a still image, which captures the bi-directional flow of time within a short time-window centered at the input image; 2) we show that we can train our method without the need of explicitly generating target representations, allowing the network to represent dynamics more broadly; and 3) we propose to apply a multiple temporal scale approach that infers DRs for different window lengths (MDR) from a still image. We empirically validate the value of our approach on the task of frame ranking, and show how our proposed MDR attains state of the art results on BP4D for AU intensity estimation and on SEMAINE for dimensional affect estimation, using only still images at test time.




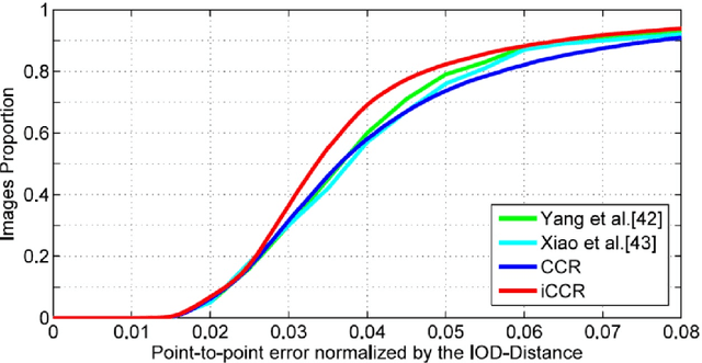
Abstract:Linear regression is a fundamental building block in many face detection and tracking algorithms, typically used to predict shape displacements from image features through a linear mapping. This paper presents a Functional Regression solution to the least squares problem, which we coin Continuous Regression, resulting in the first real-time incremental face tracker. Contrary to prior work in Functional Regression, in which B-splines or Fourier series were used, we propose to approximate the input space by its first-order Taylor expansion, yielding a closed-form solution for the continuous domain of displacements. We then extend the continuous least squares problem to correlated variables, and demonstrate the generalisation of our approach. We incorporate Continuous Regression into the cascaded regression framework, and show its computational benefits for both training and testing. We then present a fast approach for incremental learning within Cascaded Continuous Regression, coined iCCR, and show that its complexity allows real-time face tracking, being 20 times faster than the state of the art. To the best of our knowledge, this is the first incremental face tracker that is shown to operate in real-time. We show that iCCR achieves state-of-the-art performance on the 300-VW dataset, the most recent, large-scale benchmark for face tracking.




Abstract:The field of Automatic Facial Expression Analysis has grown rapidly in recent years. However, despite progress in new approaches as well as benchmarking efforts, most evaluations still focus on either posed expressions, near-frontal recordings, or both. This makes it hard to tell how existing expression recognition approaches perform under conditions where faces appear in a wide range of poses (or camera views), displaying ecologically valid expressions. The main obstacle for assessing this is the availability of suitable data, and the challenge proposed here addresses this limitation. The FG 2017 Facial Expression Recognition and Analysis challenge (FERA 2017) extends FERA 2015 to the estimation of Action Units occurrence and intensity under different camera views. In this paper we present the third challenge in automatic recognition of facial expressions, to be held in conjunction with the 12th IEEE conference on Face and Gesture Recognition, May 2017, in Washington, United States. Two sub-challenges are defined: the detection of AU occurrence, and the estimation of AU intensity. In this work we outline the evaluation protocol, the data used, and the results of a baseline method for both sub-challenges.




Abstract:This paper introduces a novel real-time algorithm for facial landmark tracking. Compared to detection, tracking has both additional challenges and opportunities. Arguably the most important aspect in this domain is updating a tracker's models as tracking progresses, also known as incremental (face) tracking. While this should result in more accurate localisation, how to do this online and in real time without causing a tracker to drift is still an important open research question. We address this question in the cascaded regression framework, the state-of-the-art approach for facial landmark localisation. Because incremental learning for cascaded regression is costly, we propose a much more efficient yet equally accurate alternative using continuous regression. More specifically, we first propose cascaded continuous regression (CCR) and show its accuracy is equivalent to the Supervised Descent Method. We then derive the incremental learning updates for CCR (iCCR) and show that it is an order of magnitude faster than standard incremental learning for cascaded regression, bringing the time required for the update from seconds down to a fraction of a second, thus enabling real-time tracking. Finally, we evaluate iCCR and show the importance of incremental learning in achieving state-of-the-art performance. Code for our iCCR is available from http://www.cs.nott.ac.uk/~psxes1