



Abstract:Generalization and robustness to input variation are core desiderata of machine learning research. Language varies along several axes, most importantly, language instance (e.g. French) and domain (e.g. news). While adapting NLP models to new languages within a single domain, or to new domains within a single language, is widely studied, research in joint adaptation is hampered by the lack of evaluation datasets. This prevents the transfer of NLP systems from well-resourced languages and domains to non-dominant language-domain combinations. To address this gap, we introduce M2QA, a multi-domain multilingual question answering benchmark. M2QA includes 13,500 SQuAD 2.0-style question-answer instances in German, Turkish, and Chinese for the domains of product reviews, news, and creative writing. We use M2QA to explore cross-lingual cross-domain performance of fine-tuned models and state-of-the-art LLMs and investigate modular approaches to domain and language adaptation. We witness 1) considerable performance variations across domain-language combinations within model classes and 2) considerable performance drops between source and target language-domain combinations across all model sizes. We demonstrate that M2QA is far from solved, and new methods to effectively transfer both linguistic and domain-specific information are necessary. We make M2QA publicly available at https://github.com/UKPLab/m2qa.
Abstract:We introduce Adapters, an open-source library that unifies parameter-efficient and modular transfer learning in large language models. By integrating 10 diverse adapter methods into a unified interface, Adapters offers ease of use and flexible configuration. Our library allows researchers and practitioners to leverage adapter modularity through composition blocks, enabling the design of complex adapter setups. We demonstrate the library's efficacy by evaluating its performance against full fine-tuning on various NLP tasks. Adapters provides a powerful tool for addressing the challenges of conventional fine-tuning paradigms and promoting more efficient and modular transfer learning. The library is available via https://adapterhub.ml/adapters.
Abstract:Backdoor attacks pose a serious security threat for training neural networks as they surreptitiously introduce hidden functionalities into a model. Such backdoors remain silent during inference on clean inputs, evading detection due to inconspicuous behavior. However, once a specific trigger pattern appears in the input data, the backdoor activates, causing the model to execute its concealed function. Detecting such poisoned samples within vast datasets is virtually impossible through manual inspection. To address this challenge, we propose a novel approach that enables model training on potentially poisoned datasets by utilizing the power of recent diffusion models. Specifically, we create synthetic variations of all training samples, leveraging the inherent resilience of diffusion models to potential trigger patterns in the data. By combining this generative approach with knowledge distillation, we produce student models that maintain their general performance on the task while exhibiting robust resistance to backdoor triggers.




Abstract:Recent advances in NLP and information retrieval have given rise to a diverse set of question answering tasks that are of different formats (e.g., extractive, abstractive), require different model architectures (e.g., generative, discriminative), and setups (e.g., with or without retrieval). Despite having a large number of powerful, specialized QA pipelines (which we refer to as Skills) that consider a single domain, model or setup, there exists no framework where users can easily explore and compare such pipelines and can extend them according to their needs. To address this issue, we present UKP-SQUARE, an extensible online QA platform for researchers which allows users to query and analyze a large collection of modern Skills via a user-friendly web interface and integrated behavioural tests. In addition, QA researchers can develop, manage, and share their custom Skills using our microservices that support a wide range of models (Transformers, Adapters, ONNX), datastores and retrieval techniques (e.g., sparse and dense). UKP-SQUARE is available on https://square.ukp-lab.de.




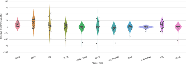
Abstract:Intermediate task fine-tuning has been shown to culminate in large transfer gains across many NLP tasks. With an abundance of candidate datasets as well as pre-trained language models, it has become infeasible to run the cross-product of all combinations to find the best transfer setting. In this work we first establish that similar sequential fine-tuning gains can be achieved in adapter settings, and subsequently consolidate previously proposed methods that efficiently identify beneficial tasks for intermediate transfer learning. We experiment with a diverse set of 42 intermediate and 11 target English classification, multiple choice, question answering, and sequence tagging tasks. Our results show that efficient embedding based methods that rely solely on the respective datasets outperform computational expensive few-shot fine-tuning approaches. Our best methods achieve an average Regret@3 of less than 1% across all target tasks, demonstrating that we are able to efficiently identify the best datasets for intermediate training.




Abstract:The current modus operandi in NLP involves downloading and fine-tuning pre-trained models consisting of millions or billions of parameters. Storing and sharing such large trained models is expensive, slow, and time-consuming, which impedes progress towards more general and versatile NLP methods that learn from and for many tasks. Adapters -- small learnt bottleneck layers inserted within each layer of a pre-trained model -- ameliorate this issue by avoiding full fine-tuning of the entire model. However, sharing and integrating adapter layers is not straightforward. We propose AdapterHub, a framework that allows dynamic "stitching-in" of pre-trained adapters for different tasks and languages. The framework, built on top of the popular HuggingFace Transformers library, enables extremely easy and quick adaptations of state-of-the-art pre-trained models (e.g., BERT, RoBERTa, XLM-R) across tasks and languages. Downloading, sharing, and training adapters is as seamless as possible using minimal changes to the training scripts and a specialized infrastructure. Our framework enables scalable and easy access to sharing of task-specific models, particularly in low-resource scenarios. AdapterHub includes all recent adapter architectures and can be found at https://AdapterHub.ml.