
Abstract:In the relatively short history of machine learning, the subtle balance between engineering and theoretical progress has been proved critical at various stages. The most recent wave of AI has brought to the IR community powerful techniques, particularly for pattern recognition. While many benefits from the burst of ideas as numerous tasks become algorithmically feasible, the balance is tilting toward the application side. The existing theoretical tools in IR can no longer explain, guide, and justify the newly-established methodologies. The consequences can be suffering: in stark contrast to how the IR industry has envisioned modern AI making life easier, many are experiencing increased confusion and costs in data manipulation, model selection, monitoring, censoring, and decision making. This reality is not surprising: without handy theoretical tools, we often lack principled knowledge of the pattern recognition model's expressivity, optimization property, generalization guarantee, and our decision-making process has to rely on over-simplified assumptions and human judgments from time to time. Time is now to bring the community a systematic tutorial on how we successfully adapt those tools and make significant progress in understanding, designing, and eventually productionize impactful IR systems. We emphasize systematicity because IR is a comprehensive discipline that touches upon particular aspects of learning, causal inference analysis, interactive (online) decision-making, etc. It thus requires systematic calibrations to render the actual usefulness of the imported theoretical tools to serve IR problems, as they usually exhibit unique structures and definitions. Therefore, we plan this tutorial to systematically demonstrate our learning and successful experience of using advanced theoretical tools for understanding and designing IR systems.




Abstract:The interventional nature of recommendation has attracted increasing attention in recent years. It particularly motivates researchers to formulate learning and evaluating recommendation as causal inference and data missing-not-at-random problems. However, few take seriously the consequence of violating the critical assumption of overlapping, which we prove can significantly threaten the validity and interpretation of the outcome. We find a critical piece missing in the current understanding of information retrieval (IR) systems: as interventions, recommendation not only affects the already observed data, but it also interferes with the target domain (distribution) of interest. We then rephrase optimizing recommendation as finding an intervention that best transports the patterns it learns from the observed domain to its intervention domain. Towards this end, we use domain transportation to characterize the learning-intervention mechanism of recommendation. We design a principled transportation-constraint risk minimization objective and convert it to a two-player minimax game. We prove the consistency, generalization, and excessive risk bounds for the proposed objective, and elaborate how they compare to the current results. Finally, we carry out extensive real-data and semi-synthetic experiments to demonstrate the advantage of our approach, and launch online testing with a real-world IR system.




Abstract:Off-policy learning plays a pivotal role in optimizing and evaluating policies prior to the online deployment. However, during the real-time serving, we observe varieties of interventions and constraints that cause inconsistency between the online and offline settings, which we summarize and term as runtime uncertainty. Such uncertainty cannot be learned from the logged data due to its abnormality and rareness nature. To assert a certain level of robustness, we perturb the off-policy estimators along an adversarial direction in view of the runtime uncertainty. It allows the resulting estimators to be robust not only to observed but also unexpected runtime uncertainties. Leveraging this idea, we bring runtime-uncertainty robustness to three major off-policy learning methods: the inverse propensity score method, reward-model method, and doubly robust method. We theoretically justify the robustness of our methods to runtime uncertainty, and demonstrate their effectiveness using both the simulation and the real-world online experiments.




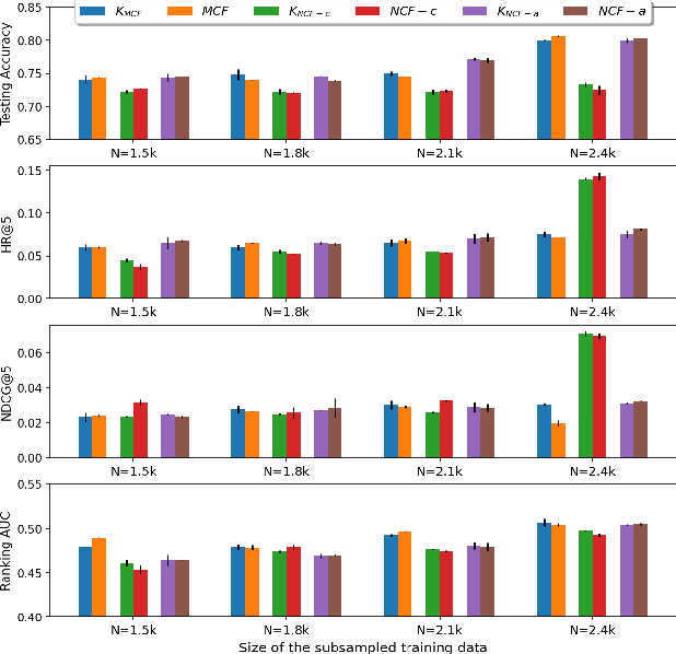
Abstract:The recent work by Rendle et al. (2020), based on empirical observations, argues that matrix-factorization collaborative filtering (MCF) compares favorably to neural collaborative filtering (NCF), and conjectures the dot product's superiority over the feed-forward neural network as similarity function. In this paper, we address the comparison rigorously by answering the following questions: 1. what is the limiting expressivity of each model; 2. under the practical gradient descent, to which solution does each optimization path converge; 3. how would the models generalize under the inductive and transductive learning setting. Our results highlight the similar expressivity for the overparameterized NCF and MCF as kernelized predictors, and reveal the relation between their optimization paths. We further show their different generalization behaviors, where MCF and NCF experience specific tradeoff and comparison in the transductive and inductive collaborative filtering setting. Lastly, by showing a novel generalization result, we reveal the critical role of correcting exposure bias for model evaluation in the inductive setting. Our results explain some of the previously observed conflicts, and we provide synthetic and real-data experiments to shed further insights to this topic.




Abstract:Selecting the optimal recommender via online exploration-exploitation is catching increasing attention where the traditional A/B testing can be slow and costly, and offline evaluations are prone to the bias of history data. Finding the optimal online experiment is nontrivial since both the users and displayed recommendations carry contextual features that are informative to the reward. While the problem can be formalized via the lens of multi-armed bandits, the existing solutions are found less satisfactorily because the general methodologies do not account for the case-specific structures, particularly for the e-commerce recommendation we study. To fill in the gap, we leverage the \emph{D-optimal design} from the classical statistics literature to achieve the maximum information gain during exploration, and reveal how it fits seamlessly with the modern infrastructure of online inference. To demonstrate the effectiveness of the optimal designs, we provide semi-synthetic simulation studies with published code and data for reproducibility purposes. We then use our deployment example on Walmart.com to fully illustrate the practical insights and effectiveness of the proposed methods.




Abstract:Sequential deep learning models such as RNN, causal CNN and attention mechanism do not readily consume continuous-time information. Discretizing the temporal data, as we show, causes inconsistency even for simple continuous-time processes. Current approaches often handle time in a heuristic manner to be consistent with the existing deep learning architectures and implementations. In this paper, we provide a principled way to characterize continuous-time systems using deep learning tools. Notably, the proposed approach applies to all the major deep learning architectures and requires little modifications to the implementation. The critical insight is to represent the continuous-time system by composing neural networks with a temporal kernel, where we gain our intuition from the recent advancements in understanding deep learning with Gaussian process and neural tangent kernel. To represent the temporal kernel, we introduce the random feature approach and convert the kernel learning problem to spectral density estimation under reparameterization. We further prove the convergence and consistency results even when the temporal kernel is non-stationary, and the spectral density is misspecified. The simulations and real-data experiments demonstrate the empirical effectiveness of our temporal kernel approach in a broad range of settings.




Abstract:The recent paper by Byrd & Lipton (2019), based on empirical observations, raises a major concern on the impact of importance weighting for the over-parameterized deep learning models. They observe that as long as the model can separate the training data, the impact of importance weighting diminishes as the training proceeds. Nevertheless, there lacks a rigorous characterization of this phenomenon. In this paper, we provide formal characterizations and theoretical justifications on the role of importance weighting with respect to the implicit bias of gradient descent and margin-based learning theory. We reveal both the optimization dynamics and generalization performance under deep learning models. Our work not only explains the various novel phenomenons observed for importance weighting in deep learning, but also extends to the studies where the weights are being optimized as part of the model, which applies to a number of topics under active research.




Abstract:Product embeddings have been heavily investigated in the past few years, serving as the cornerstone for a broad range of machine learning applications in e-commerce. Despite the empirical success of product embeddings, little is known on how and why they work from the theoretical standpoint. Analogous results from the natural language processing (NLP) often rely on domain-specific properties that are not transferable to the e-commerce setting, and the downstream tasks often focus on different aspects of the embeddings. We take an e-commerce-oriented view of the product embeddings and reveal a complete theoretical view from both the representation learning and the learning theory perspective. We prove that product embeddings trained by the widely-adopted skip-gram negative sampling algorithm and its variants are sufficient dimension reduction regarding a critical product relatedness measure. The generalization performance in the downstream machine learning task is controlled by the alignment between the embeddings and the product relatedness measure. Following the theoretical discoveries, we conduct exploratory experiments that supports our theoretical insights for the product embeddings.




Abstract:Inductive representation learning on temporal graphs is an important step toward salable machine learning on real-world dynamic networks. The evolving nature of temporal dynamic graphs requires handling new nodes as well as capturing temporal patterns. The node embeddings, which are now functions of time, should represent both the static node features and the evolving topological structures. Moreover, node and topological features can be temporal as well, whose patterns the node embeddings should also capture. We propose the temporal graph attention (TGAT) layer to efficiently aggregate temporal-topological neighborhood features as well as to learn the time-feature interactions. For TGAT, we use the self-attention mechanism as building block and develop a novel functional time encoding technique based on the classical Bochner's theorem from harmonic analysis. By stacking TGAT layers, the network recognizes the node embeddings as functions of time and is able to inductively infer embeddings for both new and observed nodes as the graph evolves. The proposed approach handles both node classification and link prediction task, and can be naturally extended to include the temporal edge features. We evaluate our method with transductive and inductive tasks under temporal settings with two benchmark and one industrial dataset. Our TGAT model compares favorably to state-of-the-art baselines as well as the previous temporal graph embedding approaches.




Abstract:Sequential modelling with self-attention has achieved cutting edge performances in natural language processing. With advantages in model flexibility, computation complexity and interpretability, self-attention is gradually becoming a key component in event sequence models. However, like most other sequence models, self-attention does not account for the time span between events and thus captures sequential signals rather than temporal patterns. Without relying on recurrent network structures, self-attention recognizes event orderings via positional encoding. To bridge the gap between modelling time-independent and time-dependent event sequence, we introduce a functional feature map that embeds time span into high-dimensional spaces. By constructing the associated translation-invariant time kernel function, we reveal the functional forms of the feature map under classic functional function analysis results, namely Bochner's Theorem and Mercer's Theorem. We propose several models to learn the functional time representation and the interactions with event representation. These methods are evaluated on real-world datasets under various continuous-time event sequence prediction tasks. The experiments reveal that the proposed methods compare favorably to baseline models while also capturing useful time-event interactions.