Abstract:This paper investigates a cell-free massive MIMO (multiple-input multiple-output) system where distributed access points (APs) perform integrated sensing and communications (ISAC) tasks, enabling simultaneous user communication and target detection/tracking. A unified framework and signal model are developed for the detection of potential targets and tracking of previously detected ones, even in arbitrary positions. Leveraging the Generalized Likelihood Ratio Test technique, novel detection/tracking algorithms are proposed to handle unknown target responses and interference. Scalable AP-user and AP-target association rules are evaluated, explicitly considering multi-zone sensing scenarios. Additionally, a scalable power control mechanism extends fractional power control principles to ISAC, balancing power allocation between communication and sensing tasks. For benchmarking, a non-scalable power control optimization problem is also formulated to maximize the minimum user data rate while ensuring a Quality of Service constraint for sensing, solved via successive convex approximation. Extensive numerical results validate the proposed framework, demonstrating its effectiveness in both communication and sensing, revealing the impact of interference from other targets, and highlighting fundamental trade-offs between sensing and communication performance.
Abstract:Cell-free massive MIMO (CF-mMIMO) represent a deeply investigated evolution from the conventional multicell co-located massive MIMO (MC-mMIMO) network deployments. Anticipating a gradual integration of CF-mMIMO systems alongside pre-existing MC-mMIMO network elements, this paper considers a scenario where both deployments coexist, in order to serve a large number of users using a shared set of frequencies. The investigation explores the impact of this coexistence on the network's downlink performance, considering various degrees of mutual cooperation, precoder selection, and power control strategies. Moreover, to take into account the effect of the proposed cooperation scenarios on the fronthaul links, this paper also provides a fronthaul-aware heuristic association algorithm between users and network elements, which permits fulfilling the fronthaul requirement on each link. The research is finally completed by extensive simulations, shedding light on the performance outcomes associated with the diverse cooperation levels and several solutions delineated in the paper.




Abstract:This paper addresses the problem of scalability for a cell-free massive MIMO (CF-mMIMO) system performing Integrated Sensing and Communications (ISAC). Specifically, the case in which a large number of access points (APs) are deployed to perform simultaneous communication with mobile users and surveillance of the surrounding environment in the same time-frequency slot is considered, and a target-centric approach on top of the user-centric approach used for communication services is introduced. Consideration of other practical aspects such as the fronthaul load and scanning protocol issues are also treated in the paper. The proposed scalable ISAC-enabled system has lower levels of system complexity, permits to manage the case in which multiple targets are to be tracked/sensed, and achieves performance levels superior or in some cases close to those of the non-scalable solutions.




Abstract:This letter focuses on a transmitter or base station (BS) side beyond-diagonal reflecting intelligent surface (BD-RIS) deployment strategy to enhance the spectral efficiency (SE) of a time-division-duplex massive multiple-input multiple-output (MaMIMO) network. In this strategy, the active antenna array utilizes a BD-RIS at the BS to serve multiple users in the downlink. Based on the knowledge of statistical channel state information (CSI), the BD-RIS coefficients matrix is optimized by employing a novel manifold algorithm, and the power control coefficients are then optimized with the objective of maximizing the minimum SE. Through numerical results we illustrate the SE performance of the proposed transmission framework and compare it with that of a conventional MaMIMO transmission for different network settings.
Abstract:In the past few years, some alternatives to the Orthogonal Frequency Division Multiplexing (OFDM) modulation have been considered to improve its spectral containment and its performance level in the presence of heavy Doppler shifts. This paper examines a novel modulation, named Doppler-Resilient Universal Filtered MultiCarrier (DR-UFMC), which has the objective of combining the advantages provided by the Universal Filtered MultiCarrier (UFMC) modulation (i.e., better spectral containment), with those of the Orthogonal Time Frequency Space (OTFS) modulation (i.e., better performance in time-varying environments). The paper contains the mathematical model and detailed transceiver block scheme of the newly described modulation, along with a numerical analysis contrasting DR-UFMC against OTFS, OFDM with one-tap frequency domain equalization (FDE), and OFDM with multicarrier multisymbol linear MMSE processing. Results clearly show the superiority, with respect to the cited benchmarks, of the newly proposed modulation in terms of achievable spectral efficiency. Interestingly, it is also seen that OFDM, when considered in conjunction with multicarrier multisymbol linear minimum mean squares error (MMSE) processing, performs slightly better than OTFS in terms of achievable spectral efficiency.




Abstract:The non-orthogonal coexistence between the enhanced mobile broadband (eMBB) and the ultra-reliable low-latency communication (URLLC) in the downlink of a multi-cell massive MIMO system is rigorously analyzed in this work. We provide a unified information-theoretic framework blending an infinite-blocklength analysis of the eMBB spectral efficiency (SE) in the ergodic regime with a finite-blocklength analysis of the URLLC error probability relying on the use of mismatched decoding, and of the so-called saddlepoint approximation. Puncturing (PUNC) and superposition coding (SPC) are considered as alternative downlink coexistence strategies to deal with the inter-service interference, under the assumption of only statistical channel state information (CSI) knowledge at the users. eMBB and URLLC performances are then evaluated over different precoding techniques and power control schemes, by accounting for imperfect CSI knowledge at the base stations, pilot-based estimation overhead, pilot contamination, spatially correlated channels, the structure of the radio frame, and the characteristics of the URLLC activation pattern. Simulation results reveal that SPC is, in many operating regimes, superior to PUNC in providing higher SE for the eMBB yet achieving the target reliability for the URLLC with high probability. Moreover, PUNC might cause eMBB service outage in presence of high URLLC traffic loads. However, PUNC turns to be necessary to preserve the URLLC performance in scenarios where the multi-user interference cannot be satisfactorily alleviated.




Abstract:This paper considers the problem of beam alignment in a cell-free massive MIMO deployment with multiple access points (APs) and multiple user equipments (UEs) simultaneously operating in the same millimeter wave frequency band. Assuming the availability of a control channel at sub-6 GHz frequencies, a protocol is developed that permits estimating, for each UE, the strongest propagation path from each of the surrounding APs, and to perform user-centric association between the UEs and the APs. Estimation of the strongest paths from nearby APs is realized at the UE in a one-phase procedure, during which all the APs simultaneously transmit on pseudo-randomly selected channels with pseudo-random transmit beamformers. An algorithm for orthogonal channels assignment to the APs is also proposed, with the aim of minimizing the mutual interference between APs that transmit on the same channels. The performance of the proposed strategy is evaluated both in terms of probability of correct detection of the directions of arrival and of departure associated to the strongest beam from nearby APs, and in terms of downlink and uplink signal-to-interference-plus-noise ratio. Numerical results show that the proposed approach is effective and capable of efficiently realizing beam alignment in a multi-UE multi-AP wireless scenario.




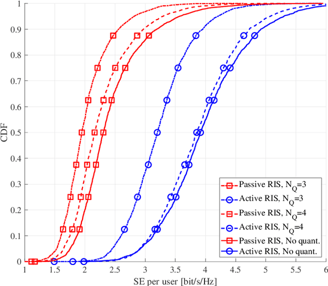
Abstract:This paper considers an antenna structure where a (non-large) array of radiating elements is placed at short distance in front of a reconfigurable intelligent surface (RIS). This structure is analyzed as a possible emulator of a traditional MIMO antenna with a large number of active antenna elements and RF chains. Focusing on both the cases of active and passive RIS, we tackle the issues of channel estimation, downlink signal processing, power control, and RIS configuration optimization. With regard to the last point, an optimization problem is formulated and solved, both for the cases of active and passive RIS, aimed at minimizing the channel signatures cross-correlations and thereby reducing the interference. Downlink spectral efficiency (SE) formulas are also derived by using the popular hardening lower-bound. Numerical results, represented with reference to max-fairness power control, show that the proposed structure is capable of outperforming conventional non-RIS aided MIMO systems even when the MIMO system has a considerably larger number of antennas and RF chains. The proposed antenna structure is thus shown to be able to approach massive MIMO performance levels in a cost-effective way with reduced hardware resources.



Abstract:This paper considers an antenna structure where a (non-large) array of radiating elements is placed at short distance in front of a reconfigurable intelligent surface (RIS). We propose a channel estimation procedure using different configurations of the RIS elements and derive a closed-form expression for an achievable downlink spectral efficiency by using the popular hardening lower-bound. Next, we formulate an optimization problem, with respect to the phase shifts of the RIS, aimed at minimizing the channels cross-correlations while preserving the channels individual norms. The numerical analysis shows that the proposed structure is capable of overcoming the performance of a conventional massive MIMO system without the RIS.



Abstract:The problem of beam alignment (BA) in a cell-free massive multiple-input multiple-output (CF-mMIMO) system operating at millimeter wave (mmWaves) carrier frequencies is considered in this paper. Two estimation algorithms are proposed, in association with a protocol that permits simultaneous estimation, on a shared set of frequencies, for each user equipment (UE), of the direction of arrival and departure of the radio waves associated to the strongest propagation paths from each of the surrounding access points (APs), so that UE-AP association can take place. The proposed procedure relies on the existence of a reliable control channel at sub-6 GHz frequency, so as to enable exchange of estimated values between the UEs and the network, and assumes that APs can be identifies based on the prior knowledge of the orthogonal channels and transmit beamforming codebook. A strategy for assigning codebook entries to the several APs is also proposed, with the aim of minimizing the mutual interference between APs that are assigned the same entry. Numerical results show the effectiveness of the proposed detection strategy, thus enabling one shot fast BA for CF-mMIMO systems.