



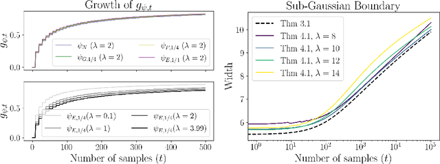
Abstract:We study the self-normalized concentration of vector-valued stochastic processes. We focus on bounds for sub-$\psi$ processes, a tail condition that encompasses a wide variety of well-known distributions (including sub-exponential, sub-Gaussian, sub-gamma, and sub-Poisson distributions). Our results recover and generalize the influential bound of Abbasi-Yadkori et al. (2011) and fill a gap in the literature between determinant-based bounds and those based on condition numbers. As applications we prove a Bernstein inequality for random vectors satisfying a moment condition (which is more general than boundedness), and also provide the first dimension-free, self-normalized empirical Bernstein inequality. Our techniques are based on the variational (PAC-Bayes) approach to concentration.



Abstract:We derive and study time-uniform confidence spheres - termed confidence sphere sequences (CSSs) - which contain the mean of random vectors with high probability simultaneously across all sample sizes. Inspired by the original work of Catoni and Giulini, we unify and extend their analysis to cover both the sequential setting and to handle a variety of distributional assumptions. More concretely, our results include an empirical-Bernstein CSS for bounded random vectors (resulting in a novel empirical-Bernstein confidence interval), a CSS for sub-$\psi$ random vectors, and a CSS for heavy-tailed random vectors based on a sequentially valid Catoni-Giulini estimator. Finally, we provide a version of our empirical-Bernstein CSS that is robust to contamination by Huber noise.




Abstract:We provide practical, efficient, and nonparametric methods for auditing the fairness of deployed classification and regression models. Whereas previous work relies on a fixed-sample size, our methods are sequential and allow for the continuous monitoring of incoming data, making them highly amenable to tracking the fairness of real-world systems. We also allow the data to be collected by a probabilistic policy as opposed to sampled uniformly from the population. This enables auditing to be conducted on data gathered for another purpose. Moreover, this policy may change over time and different policies may be used on different subpopulations. Finally, our methods can handle distribution shift resulting from either changes to the model or changes in the underlying population. Our approach is based on recent progress in anytime-valid inference and game-theoretic statistics-the "testing by betting" framework in particular. These connections ensure that our methods are interpretable, fast, and easy to implement. We demonstrate the efficacy of our methods on several benchmark fairness datasets.


Abstract:We present a unified framework for deriving PAC-Bayesian generalization bounds. Unlike most previous literature on this topic, our bounds are anytime-valid (i.e., time-uniform), meaning that they hold at all stopping times, not only for a fixed sample size. Our approach combines four tools in the following order: (a) nonnegative supermartingales or reverse submartingales, (b) the method of mixtures, (c) the Donsker-Varadhan formula (or other convex duality principles), and (d) Ville's inequality. Our main result is a PAC-Bayes theorem which holds for a wide class of discrete stochastic processes. We show how this result implies time-uniform versions of well-known classical PAC-Bayes bounds, such as those of Seeger, McAllester, Maurer, and Catoni, in addition to many recent bounds. We also present several novel bounds. Our framework also enables us to relax traditional assumptions; in particular, we consider nonstationary loss functions and non-i.i.d. data. In sum, we unify the derivation of past bounds and ease the search for future bounds: one may simply check if our supermartingale or submartingale conditions are met and, if so, be guaranteed a (time-uniform) PAC-Bayes bound.




Abstract:Entropy regularization is known to improve exploration in sequential decision-making problems. We show that this same mechanism can also lead to nearly unbiased and lower-variance estimates of the mean reward in the optimize-and-estimate structured bandit setting. Mean reward estimation (i.e., population estimation) tasks have recently been shown to be essential for public policy settings where legal constraints often require precise estimates of population metrics. We show that leveraging entropy and KL divergence can yield a better trade-off between reward and estimator variance than existing baselines, all while remaining nearly unbiased. These properties of entropy regularization illustrate an exciting potential for bridging the optimal exploration and estimation literatures.




Abstract:This paper introduces a new, highly consequential setting for the use of computer vision for environmental sustainability. Concentrated Animal Feeding Operations (CAFOs) (aka intensive livestock farms or "factory farms") produce significant manure and pollution. Dumping manure in the winter months poses significant environmental risks and violates environmental law in many states. Yet the federal Environmental Protection Agency (EPA) and state agencies have relied primarily on self-reporting to monitor such instances of "land application." Our paper makes four contributions. First, we introduce the environmental, policy, and agricultural setting of CAFOs and land application. Second, we provide a new dataset of high-cadence (daily to weekly) 3m/pixel satellite imagery from 2018-20 for 330 CAFOs in Wisconsin with hand labeled instances of land application (n=57,697). Third, we develop an object detection model to predict land application and a system to perform inference in near real-time. We show that this system effectively appears to detect land application (PR AUC = 0.93) and we uncover several outlier facilities which appear to apply regularly and excessively. Last, we estimate the population prevalence of land application events in Winter 2021/22. We show that the prevalence of land application is much higher than what is self-reported by facilities. The system can be used by environmental regulators and interest groups, one of which piloted field visits based on this system this past winter. Overall, our application demonstrates the potential for AI-based computer vision systems to solve major problems in environmental compliance with near-daily imagery.




Abstract:We introduce a new setting, optimize-and-estimate structured bandits. Here, a policy must select a batch of arms, each characterized by its own context, that would allow it to both maximize reward and maintain an accurate (ideally unbiased) population estimate of the reward. This setting is inherent to many public and private sector applications and often requires handling delayed feedback, small data, and distribution shifts. We demonstrate its importance on real data from the United States Internal Revenue Service (IRS). The IRS performs yearly audits of the tax base. Two of its most important objectives are to identify suspected misreporting and to estimate the "tax gap" - the global difference between the amount paid and true amount owed. We cast these two processes as a unified optimize-and-estimate structured bandit. We provide a novel mechanism for unbiased population estimation that achieves rewards comparable to baseline approaches. This approach has the potential to improve audit efficacy, while maintaining policy-relevant estimates of the tax gap. This has important social consequences given that the current tax gap is estimated at nearly half a trillion dollars. We suggest that this problem setting is fertile ground for further research and we highlight its interesting challenges.




Abstract:Concentrated Animal Feeding Operations (CAFOs) pose serious risks to air, water, and public health, but have proven to be challenging to regulate. The U.S. Government Accountability Office notes that a basic challenge is the lack of comprehensive location information on CAFOs. We use the USDA's National Agricultural Imagery Program (NAIP) 1m/pixel aerial imagery to detect poultry CAFOs across the continental United States. We train convolutional neural network (CNN) models to identify individual poultry barns and apply the best performing model to over 42 TB of imagery to create the first national, open-source dataset of poultry CAFOs. We validate the model predictions against held-out validation set on poultry CAFO facility locations from 10 hand-labeled counties in California and demonstrate that this approach has significant potential to fill gaps in environmental monitoring.



Abstract:In many public health settings, there is a perceived tension between allocating resources to known vulnerable areas and learning about the overall prevalence of the problem. Inspired by a door-to-door Covid-19 testing program we helped design, we combine multi-armed bandit strategies and insights from sampling theory to demonstrate how to recover accurate prevalence estimates while continuing to allocate resources to at-risk areas. We use the outbreak of an infectious disease as our running example. The public health setting has several characteristics distinguishing it from typical bandit settings, such as distribution shift (the true disease prevalence is changing with time) and batched sampling (multiple decisions must be made simultaneously). Nevertheless, we demonstrate that several bandit algorithms are capable out-performing greedy resource allocation strategies, which often perform worse than random allocation as they fail to notice outbreaks in new areas.




Abstract:Environmental enforcement has historically relied on physical, resource-intensive, and infrequent inspections. Advances in remote sensing and computer vision have the potential to augment compliance monitoring, by providing early warning signals of permit violations. We demonstrate a process for rapid identification of significant structural expansion using satellite imagery and focusing on Concentrated Animal Feeding Operations (CAFOs) as a test case. Unpermitted expansion has been a particular challenge with CAFOs, which pose significant health and environmental risks. Using a new hand-labeled dataset of 175,736 images of 1,513 CAFOs, we combine state-of-the-art building segmentation with a likelihood-based change-point detection model to provide a robust signal of building expansion (AUC = 0.80). A major advantage of this approach is that it is able to work with high-cadence (daily to weekly), but lower resolution (3m/pixel), satellite imagery. It is also highly generalizable and thus provides a near real-time monitoring tool to prioritize enforcement resources to other settings where unpermitted construction poses environmental risk, e.g. zoning, habitat modification, or wetland protection.