Abstract:Spectrum sensing and the generation of 3D Radio Environment Maps (REMs) are essential for enabling spectrum sharing within cognitive radio networks. While Uncrewed Aerial Vehicles (UAVs) offer high-mobility 3D sensing, REM accuracy is challenged by dynamic flight behaviors, where fluctuations in UAV speed and direction introduce measurement inconsistencies. Furthermore, the structural influence of the airframe itself impacts the onboard antenna's radiation characteristics. In this paper, we present a comprehensive analysis of REM reconstruction at various altitudes, using real-world data from a fixed base station tower and a ground-vehicle source. We evaluate diverse reconstruction methodologies, including Kriging (simple, ordinary, and trans-Gaussian), matrix completion, and Gaussian process regression (GPR) for recovery from sparse samples. Our results indicate that simple Kriging and GPR remain more robust under extreme sample sparsity. We also propose a framework to enhance reconstruction accuracy in deep-shadowed regions by decomposing the REM into distinct smooth and deep-shadowed spatial components. We further investigate how REM reconstruction performance is influenced by physical and UAV-related external parameters. First, we demonstrate that the impact of UAV altitude on accuracy follows a tri-phasic trend: an initial performance gain up to $h_1$, a performance dip between $h_1$ and $h_2$, and a final stage of increasing accuracy. Additionally, we show that performance improves with increased spectrum bandwidth. Second, our analysis of UAV trajectories reveals that the variance of shadow fading exhibits a non-monotonic trend, peaking at both very low and mid-high elevation angles. Finally, we demonstrate that antenna pattern calibration from in-field measurements significantly enhances REM reconstruction accuracy by accounting for shadowing induced by the UAV airframe.
Abstract:Providing reliable cellular connectivity to Unmanned Aerial Vehicles (UAV) is a key challenge, as existing terrestrial networks are deployed mainly for ground-level coverage. The cellular network coverage may be available for a limited range from the antenna side lobes, with poor connectivity further exacerbated by UAV flight dynamics. In this work, we propose TransfoREM, a 3D Radio Environment Map (REM) generation method that combines deterministic channel models and real-world data to map terrestrial network coverage at higher altitudes. At the core of our solution is a transformer model that translates radio propagation mapping into a sequence prediction task to construct REMs. Our results demonstrate that TransfoREM offers improved interpolation capability on real-world data compared against conventional Kriging and other machine learning (ML) techniques. Furthermore, TransfoREM is designed for holistic integration into cellular networks at the base station (BS) level, where it can build REMs, which can then be leveraged for enhanced resource allocation, interference management, and spatial spectrum utilization.




Abstract:The exponential growth of internet connected systems has generated numerous challenges, such as spectrum shortage issues, which require efficient spectrum sharing (SS) solutions. Complicated and dynamic SS systems can be exposed to different potential security and privacy issues, requiring protection mechanisms to be adaptive, reliable, and scalable. Machine learning (ML) based methods have frequently been proposed to address those issues. In this article, we provide a comprehensive survey of the recent development of ML based SS methods, the most critical security issues, and corresponding defense mechanisms. In particular, we elaborate the state-of-the-art methodologies for improving the performance of SS communication systems for various vital aspects, including ML based cognitive radio networks (CRNs), ML based database assisted SS networks, ML based LTE-U networks, ML based ambient backscatter networks, and other ML based SS solutions. We also present security issues from the physical layer and corresponding defending strategies based on ML algorithms, including Primary User Emulation (PUE) attacks, Spectrum Sensing Data Falsification (SSDF) attacks, jamming attacks, eavesdropping attacks, and privacy issues. Finally, extensive discussions on open challenges for ML based SS are also given. This comprehensive review is intended to provide the foundation for and facilitate future studies on exploring the potential of emerging ML for coping with increasingly complex SS and their security problems.




Abstract:We consider the problem of distributed downlink beam scheduling and power allocation for millimeter-Wave (mmWave) cellular networks where multiple base stations (BSs) belonging to different service operators share the same unlicensed spectrum with no central coordination or cooperation among them. Our goal is to design efficient distributed beam scheduling and power allocation algorithms such that the network-level payoff, defined as the weighted sum of the total throughput and a power penalization term, can be maximized. To this end, we propose a distributed scheduling approach to power allocation and adaptation for efficient interference management over the shared spectrum by modeling each BS as an independent Q-learning agent. As a baseline, we compare the proposed approach to the state-of-the-art non-cooperative game-based approach which was previously developed for the same problem. We conduct extensive experiments under various scenarios to verify the effect of multiple factors on the performance of both approaches. Experiment results show that the proposed approach adapts well to different interference situations by learning from experience and can achieve higher payoff than the game-based approach. The proposed approach can also be integrated into our previously developed Lyapunov stochastic optimization framework for the purpose of network utility maximization with optimality guarantee. As a result, the weights in the payoff function can be automatically and optimally determined by the virtual queue values from the sub-problems derived from the Lyapunov optimization framework.




Abstract:The high attenuation of millimeter-wave (mmWave) would significantly reduce the coverage areas, and hence it is critical to study the propagation characteristics of mmWave in multiple deployment scenarios. In this work, we investigated the propagation and scattering behavior of 60 GHz mmWave signals in outdoor environments at a travel distance of 98 m for an aerial link (rooftop to rooftop), and 147 m for a ground link (light-pole to light-pole). Measurements were carried out using Facebook Terragraph (TG) radios. Results include received power, path loss, signal-to-noise ratio (SNR), and root mean square (RMS) delay spread for all beamforming directions supported by the antenna array. Strong line-of-sight (LOS) propagation exists in both links. We also observed rich multipath components (MPCs) due to edge scatterings in the aerial link, while only LOS and ground reflection MPCs in the other link.




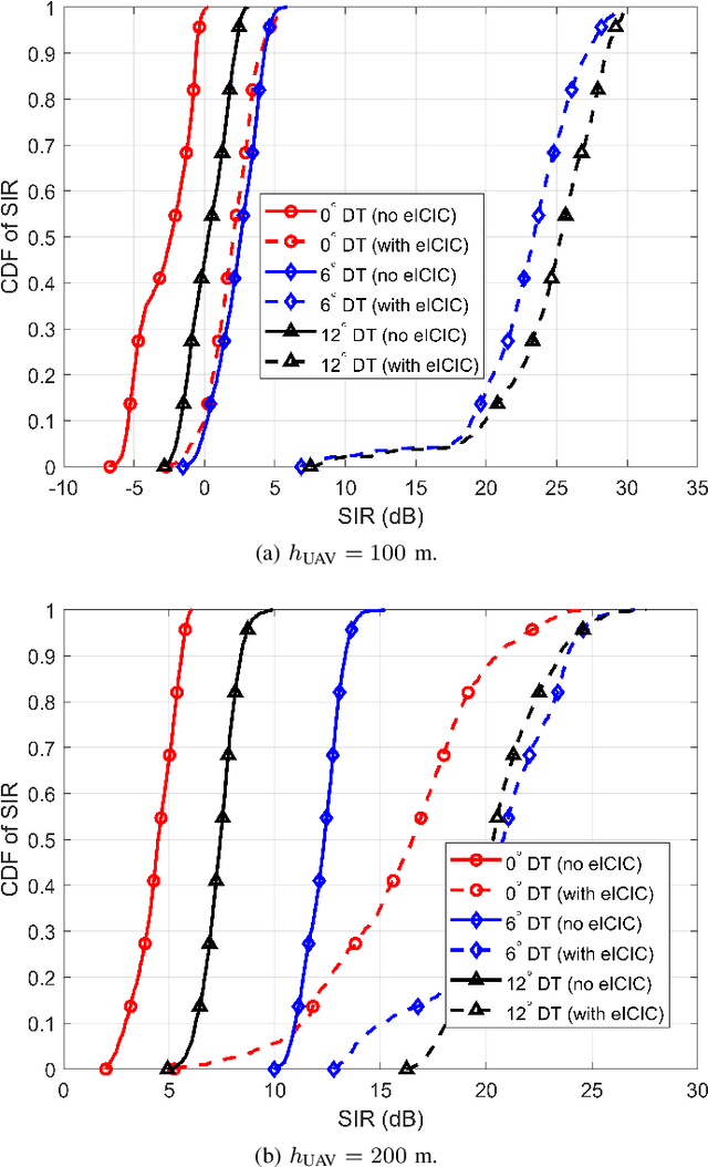
Abstract:To integrate unmanned aerial vehicles (UAVs) in future large-scale deployments, a new wireless communication paradigm, namely, cellular-connected UAV has recently attracted interest. However, the line-of-sight dominant air-to-ground channels along with the antenna pattern of the cellular ground base stations (GBSs) introduce critical interference issues in cellular-connected UAV communications. In particular, the complex antenna pattern and the ground reflection (GR) from the downtilted antennas create both coverage holes and patchy coverage for the UAVs in the sky, which leads to unreliable connectivity from the underlying cellular network. To overcome these challenges, in this paper, we propose a new cellular architecture that employs an extra set of co-channel antennas oriented towards the sky to support UAVs on top of the existing downtilted antennas for ground user equipment (GUE). To model the GR stemming from the downtilted antennas, we propose a path-loss model, which takes both antenna radiation pattern and configuration into account. Next, we formulate an optimization problem to maximize the minimum signal-to-interference ratio (SIR) of the UAVs by tuning the uptilt (UT) angles of the uptilted antennas. Since this is an NP-hard problem, we propose a genetic algorithm (GA) based heuristic method to optimize the UT angles of these antennas. After obtaining the optimal UT angles, we integrate the 3GPP Release-10 specified enhanced inter-cell interference coordination (eICIC) to reduce the interference stemming from the downtilted antennas. Our simulation results based on the hexagonal cell layout show that the proposed interference mitigation method can ensure higher minimum SIRs for the UAVs over baseline methods while creating minimal impact on the SIR of GUEs.




Abstract:Multiple-input multiple-output (MIMO) techniques can help in scaling the achievable air-to-ground (A2G) channel capacity while communicating with drones. However, spatial multiplexing with drones suffers from rank deficient channels due to the unobstructed line-of-sight (LoS), especially in millimeter-wave (mmWave) frequencies that use narrow beams. One possible solution is utilizing low-cost and low-complexity metamaterial-based intelligent reflecting surfaces (IRS) to enrich the multipath environment, taking into account that the drones are restricted to fly only within well-defined drone corridors. A hurdle with this solution is placing the IRSs optimally. In this study, we propose an approach for IRS placement with a goal to improve the spatial multiplexing gains, and hence to maximize the average channel capacity in a predefined drone corridor. Our results at 6 GHz, 28 GHz and 60 GHz show that the proposed approach increases the average rates for all frequency bands for a given drone corridor, when compared with the environment where there are no IRSs present, and IRS-aided channels perform close to each other at sub-6 and mmWave bands.




Abstract:The concept of drone corridors is recently getting more attention to enable connected, safe, and secure flight zones in the national airspace. To support beyond visual line of sight (BVLOS) operations of aerial vehicles in a drone corridor, cellular base stations (BSs) serve as a convenient infrastructure, since such BSs are widely deployed to provide seamless wireless coverage. However, antennas in the existing cellular networks are down-tilted to optimally serve their ground users, which results in coverage holes if they are also used to serve drones. In this letter, we consider the use of additional uptilted antennas at cellular BSs and optimize the uptilt angle to minimize outage probability for a given drone corridor. Our numerical results show how the beamwidth and the maximum drone corridor height affect the optimal value of the antenna uptilt angle.




Abstract:Supporting reliable and seamless wireless connectivity for unmanned aerial vehicles (UAVs) has recently become a critical requirement to enable various different use cases of UAVs. Due to their widespread deployment footprint, cellular networks can support beyond visual line of sight (BVLOS) communications for UAVs. In this paper, we consider cellular connected UAVs (C-UAVs) that are served by massive multiple-input-multiple-output (MIMO) links to extend coverage range, while also improving physical layer security and authentication. We consider Rician channel and propose a novel linear precoder design for transmitting data and artificial noise (AN). We derive the closed-form expression of the ergodic secrecy rate of C-UAVs for both conventional and proposed precoder designs. In addition, we obtain the optimal power splitting factor that divides the power between data and AN by asymptotic analysis. Then, we apply the proposed precoder design in the fingerprint embedding authentication framework, where the goal is to minimize the probability of detection of the authentication tag at an eavesdropper. In simulation results, we show the superiority of the proposed precoder in both secrecy rate and the authentication probability considering moderate and large number of antenna massive MIMO scenarios.