

Abstract:Generative language models are increasingly used for contract drafting and enhancement, creating a scenario where competing parties deploy different language models against each other. This introduces not only a game-theory challenge but also significant concerns related to AI safety and security, as the language model employed by the opposing party can be unknown. These competitive interactions can be seen as adversarial testing grounds, where models are effectively red-teamed to expose vulnerabilities such as generating biased, harmful or legally problematic text. Despite the importance of these challenges, the competitive robustness and safety of these models in adversarial settings remain poorly understood. In this small study, we approach this problem by evaluating the performance and vulnerabilities of major open-source language models in head-to-head competitions, simulating real-world contract negotiations. We further explore how these adversarial interactions can reveal potential risks, informing the development of more secure and reliable models. Our findings contribute to the growing body of research on AI safety, offering insights into model selection and optimisation in competitive legal contexts and providing actionable strategies for mitigating risks.




Abstract:Data scarcity is a common obstacle in medical research due to the high costs associated with data collection and the complexity of gaining access to and utilizing data. Synthesizing health data may provide an efficient and cost-effective solution to this shortage, enabling researchers to explore distributions and populations that are not represented in existing observations or difficult to access due to privacy considerations. To that end, we have developed a multi-task self-attention model that produces realistic wearable activity data. We examine the characteristics of the generated data and quantify its similarity to genuine samples with both quantitative and qualitative approaches.



Abstract:Self-supervision may boost model performance in downstream tasks. However, there is no principled way of selecting the self-supervised objectives that yield the most adaptable models. Here, we study this problem on daily time-series data generated from wearable sensors used to detect onset of influenza-like illness (ILI). We first show that using self-supervised learning to predict next-day time-series values allows us to learn rich representations which can be adapted to perform accurate ILI prediction. Second, we perform an empirical analysis of three different self-supervised objectives to assess their adaptability to ILI prediction. Our results show that predicting the next day's resting heart rate or time-in-bed during sleep provides better representations for ILI prediction. These findings add to previous work demonstrating the practical application of self-supervised learning from activity data to improve health predictions.
Abstract:We propose an efficient algorithm to visualise symmetries in neural networks. Typically, models are defined with respect to a parameter space, where non-equal parameters can produce the same input-output map. Our proposed method, GENNI, allows us to efficiently identify parameters that are functionally equivalent and then visualise the subspace of the resulting equivalence class. By doing so, we are now able to better explore questions surrounding identifiability, with applications to optimisation and generalizability, for commonly used or newly developed neural network architectures.




Abstract:Brain age estimation from Magnetic Resonance Images (MRI) derives the difference between a subject's biological brain age and their chronological age. This is a potential biomarker for neurodegeneration, e.g. as part of Alzheimer's disease. Early detection of neurodegeneration manifesting as a higher brain age can potentially facilitate better medical care and planning for affected individuals. Many studies have been proposed for the prediction of chronological age from brain MRI using machine learning and specifically deep learning techniques. Contrary to most studies, which use the whole brain volume, in this study, we develop a new deep learning approach that uses 3D patches of the brain as well as convolutional neural networks (CNNs) to develop a localised brain age estimator. In this way, we can obtain a visualization of the regions that play the most important role for estimating brain age, leading to more anatomically driven and interpretable results, and thus confirming relevant literature which suggests that the ventricles and the hippocampus are the areas that are most informative. In addition, we leverage this knowledge in order to improve the overall performance on the task of age estimation by combining the results of different patches using an ensemble method, such as averaging or linear regression. The network is trained on the UK Biobank dataset and the method achieves state-of-the-art results with a Mean Absolute Error of 2.46 years for purely regional estimates, and 2.13 years for an ensemble of patches before bias correction, while 1.96 years after bias correction.




Abstract:Deep reinforcement learning requires a heavy price in terms of sample efficiency and overparameterization in the neural networks used for function approximation. In this work, we use tensor factorization in order to learn more compact representation for reinforcement learning policies. We show empirically that in the low-data regime, it is possible to learn online policies with 2 to 10 times less total coefficients, with little to no loss of performance. We also leverage progress in second order optimization, and use the theory of wavelet scattering to further reduce the number of learned coefficients, by foregoing learning the topmost convolutional layer filters altogether. We evaluate our results on the Atari suite against recent baseline algorithms that represent the state-of-the-art in data efficiency, and get comparable results with an order of magnitude gain in weight parsimony.




Abstract:Comparison between the previous method and proposed method TBU.




Abstract:Multiple machine learning and prediction models are often used for the same prediction or recommendation task. In our recent work, where we develop and deploy airline ancillary pricing models in an online setting, we found that among multiple pricing models developed, no one model clearly dominates other models for all incoming customer requests. Thus, as algorithm designers, we face an exploration - exploitation dilemma. In this work, we introduce an adaptive meta-decision framework that uses Thompson sampling, a popular multi-armed bandit solution method, to route customer requests to various pricing models based on their online performance. We show that this adaptive approach outperform a uniformly random selection policy by improving the expected revenue per offer by 43% and conversion score by 58% in an offline simulation.




Abstract:Over-parametrization of deep neural networks has recently been shown to be key to their successful training. However, it also renders them prone to overfitting and makes them expensive to store and train. Tensor regression networks significantly reduce the number of effective parameters in deep neural networks while retaining accuracy and the ease of training. They replace the flattening and fully-connected layers with a tensor regression layer, where the regression weights are expressed through the factors of a low-rank tensor decomposition. In this paper, to further improve tensor regression networks, we propose a novel stochastic rank-regularization. It consists of a novel randomized tensor sketching method to approximate the weights of tensor regression layers. We theoretically and empirically establish the link between our proposed stochastic rank-regularization and the dropout on low-rank tensor regression. Extensive experimental results with both synthetic data and real world datasets (i.e., CIFAR-100 and the UK Biobank brain MRI dataset) support that the proposed approach i) improves performance in both classification and regression tasks, ii) decreases overfitting, iii) leads to more stable training and iv) improves robustness to adversarial attacks and random noise.




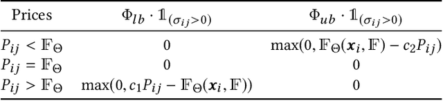
Abstract:Ancillaries have become a major source of revenue and profitability in the travel industry. Yet, conventional pricing strategies are based on business rules that are poorly optimized and do not respond to changing market conditions. This paper describes the dynamic pricing model developed by Deepair solutions, an AI technology provider for travel suppliers. We present a pricing model that provides dynamic pricing recommendations specific to each customer interaction and optimizes expected revenue per customer. The unique nature of personalized pricing provides the opportunity to search over the market space to find the optimal price-point of each ancillary for each customer, without violating customer privacy. In this paper, we present and compare three approaches for dynamic pricing of ancillaries, with increasing levels of sophistication: (1) a two-stage forecasting and optimization model using a logistic mapping function; (2) a two-stage model that uses a deep neural network for forecasting, coupled with a revenue maximization technique using discrete exhaustive search; (3) a single-stage end-to-end deep neural network that recommends the optimal price. We describe the performance of these models based on both offline and online evaluations. We also measure the real-world business impact of these approaches by deploying them in an A/B test on an airline's internet booking website. We show that traditional machine learning techniques outperform human rule-based approaches in an online setting by improving conversion by 36% and revenue per offer by 10%. We also provide results for our offline experiments which show that deep learning algorithms outperform traditional machine learning techniques for this problem. Our end-to-end deep learning model is currently being deployed by the airline in their booking system.