



Abstract:This letter introduces a machine-learning approach to learning the semantic dynamics of correlated systems with different control rules and dynamics. By leveraging the Koopman operator in an autoencoder (AE) framework, the system's state evolution is linearized in the latent space using a dynamic semantic Koopman (DSK) model, capturing the baseline semantic dynamics. Signal temporal logic (STL) is incorporated through a logical semantic Koopman (LSK) model to encode system-specific control rules. These models form the proposed logical Koopman AE framework that reduces communication costs while improving state prediction accuracy and control performance, showing a 91.65% reduction in communication samples and significant performance gains in simulation.




Abstract:In this work, we propose a novel data-driven machine learning (ML) technique to model and predict the dynamics of the wireless propagation environment in latent space. Leveraging the idea of channel charting, which learns compressed representations of high-dimensional channel state information (CSI), we incorporate a predictive component to capture the dynamics of the wireless system. Hence, we jointly learn a channel encoder that maps the estimated CSI to an appropriate latent space, and a predictor that models the relationships between such representations. Accordingly, our problem boils down to training a joint-embedding predictive architecture (JEPA) that simulates the latent dynamics of a wireless network from CSI. We present numerical evaluations on measured data and show that the proposed JEPA displays a two-fold increase in accuracy over benchmarks, for longer look-ahead prediction tasks.
Abstract:In remote control systems, transmitting large data volumes (e.g. video feeds) from wireless sensors to faraway controllers is challenging when the uplink channel capacity is limited (e.g. RedCap devices or massive wireless sensor networks). Furthermore, the controllers often only need the information-rich components of the original data. To address this, we propose a Time-Series Joint Embedding Predictive Architecture (TS-JEPA) and a semantic actor trained through self-supervised learning. This approach harnesses TS-JEPA's semantic representation power and predictive capabilities by capturing spatio-temporal correlations in the source data. We leverage this to optimize uplink channel utilization, while the semantic actor calculates control commands directly from the encoded representations, rather than from the original data. We test our model through multiple parallel instances of the well-known inverted cart-pole scenario, where the approach is validated through the maximization of stability under constrained uplink channel capacity.




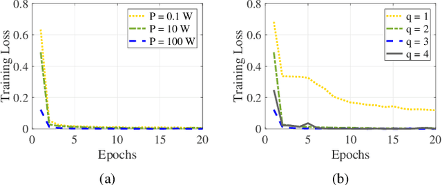
Abstract:Remote state monitoring over wireless is envisaged to play a pivotal role in enabling beyond 5G applications ranging from remote drone control to remote surgery. One key challenge is to identify the system dynamics that is non-linear with a large dimensional state. To obviate this issue, in this article we propose to train an autoencoder whose encoder and decoder are split and stored at a state sensor and its remote observer, respectively. This autoencoder not only decreases the remote monitoring payload size by reducing the state representation dimension, but also learns the system dynamics by lifting it via a Koopman operator, thereby allowing the observer to locally predict future states after training convergence. Numerical results under a non-linear cart-pole environment demonstrate that the proposed split learning of a Koopman autoencoder can locally predict future states, and the prediction accuracy increases with the representation dimension and transmission power.