



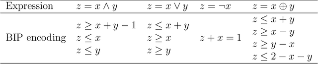
The lack of fa\c{c}ade structures in photogrammetric mesh models renders them inadequate for meeting the demands of intricate applications. Moreover, these mesh models exhibit irregular surfaces with considerable geometric noise and texture quality imperfections, making the restoration of structures challenging. To address these shortcomings, we present StructuredMesh, a novel approach for reconstructing fa\c{c}ade structures conforming to the regularity of buildings within photogrammetric mesh models. Our method involves capturing multi-view color and depth images of the building model using a virtual camera and employing a deep learning object detection pipeline to semi-automatically extract the bounding boxes of fa\c{c}ade components such as windows, doors, and balconies from the color image. We then utilize the depth image to remap these boxes into 3D space, generating an initial fa\c{c}ade layout. Leveraging architectural knowledge, we apply binary integer programming (BIP) to optimize the 3D layout's structure, encompassing the positions, orientations, and sizes of all components. The refined layout subsequently informs fa\c{c}ade modeling through instance replacement. We conducted experiments utilizing building mesh models from three distinct datasets, demonstrating the adaptability, robustness, and noise resistance of our proposed methodology. Furthermore, our 3D layout evaluation metrics reveal that the optimized layout enhances precision, recall, and F-score by 6.5%, 4.5%, and 5.5%, respectively, in comparison to the initial layout.