



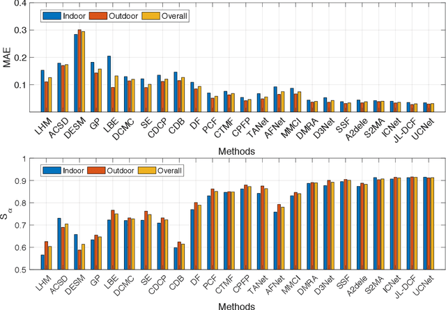
Salient object detection (SOD), which simulates the human visual perception system to locate the most attractive object(s) in a scene, has been widely applied to various computer vision tasks. Now, with the advent of depth sensors, depth maps with affluent spatial information that can be beneficial in boosting the performance of SOD, can easily be captured. Although various RGB-D based SOD models with promising performance have been proposed over the past several years, an in-depth understanding of these models and challenges in this topic remains lacking. In this paper, we provide a comprehensive survey of RGB-D based SOD models from various perspectives, and review related benchmark datasets in detail. Further, considering that the light field can also provide depth maps, we review SOD models and popular benchmark datasets from this domain as well. Moreover, to investigate the SOD ability of existing models, we carry out a comprehensive evaluation, as well as attribute-based evaluation of several representative RGB-D based SOD models. Finally, we discuss several challenges and open directions of RGB-D based SOD for future research. All collected models, benchmark datasets, source code links, datasets constructed for attribute-based evaluation, and codes for evaluation will be made publicly available at https://github.com/taozh2017/RGBDSODsurvey