



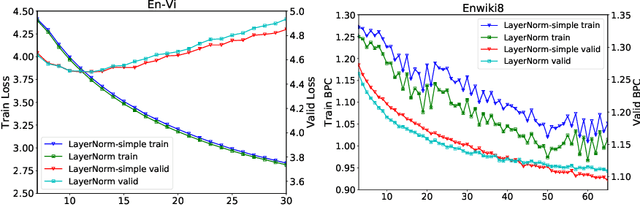
Layer normalization (LayerNorm) is a technique to normalize the distributions of intermediate layers. It enables smoother gradients, faster training, and better generalization accuracy. However, it is still unclear where the effectiveness stems from. In this paper, our main contribution is to take a step further in understanding LayerNorm. Many of previous studies believe that the success of LayerNorm comes from forward normalization. Unlike them, we find that the derivatives of the mean and variance are more important than forward normalization by re-centering and re-scaling backward gradients. Furthermore, we find that the parameters of LayerNorm, including the bias and gain, increase the risk of over-fitting and do not work in most cases. Experiments show that a simple version of LayerNorm (LayerNorm-simple) without the bias and gain outperforms LayerNorm on four datasets. It obtains the state-of-the-art performance on En-Vi machine translation. To address the over-fitting problem, we propose a new normalization method, Adaptive Normalization (AdaNorm), by replacing the bias and gain with a new transformation function. Experiments show that AdaNorm demonstrates better results than LayerNorm on seven out of eight datasets.