



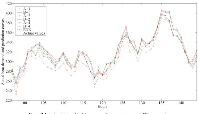
Heat demand prediction is a prominent research topic in the area of intelligent energy networks. It has been well recognized that periodicity is one of the important characteristics of heat demand. Seasonal-trend decomposition based on LOESS (STL) algorithm can analyze the periodicity of a heat demand series, and decompose the series into seasonal and trend components. Then, predicting the seasonal and trend components respectively, and combining their predictions together as the heat demand prediction is a possible way to predict heat demand. In this paper, STL-ENN-ARIMA (SEA), a combined model, was proposed based on the combination of the Elman neural network (ENN) and the autoregressive integrated moving average (ARIMA) model, which are commonly applied to heat demand prediction. ENN and ARIMA are used to predict seasonal and trend components, respectively. Experimental results demonstrate that the proposed SEA model has a promising performance.