Abstract:Linear discriminant analysis (LDA) is a fundamental method in statistical pattern recognition and classification, achieving Bayes optimality under Gaussian assumptions. However, it is well-known that classical LDA may struggle in high-dimensional settings due to instability in covariance estimation. In this work, we propose LDA with gradient optimization (LDA-GO), a new approach that directly optimizes the inverse covariance matrix via gradient descent. The algorithm parametrizes the inverse covariance matrix through Cholesky factorization, incorporates a low-rank extension to reduce computational complexity, and considers a multiple-initialization strategy, including identity initialization and warm-starting from the classical LDA estimates. The effectiveness of LDA-GO is demonstrated through extensive multivariate simulations and real-data experiments.
Abstract:In this paper, we introduce the concept of principal communities and propose a principal graph encoder embedding method that concurrently detects these communities and achieves vertex embedding. Given a graph adjacency matrix with vertex labels, the method computes a sample community score for each community, ranking them to measure community importance and estimate a set of principal communities. The method then produces a vertex embedding by retaining only the dimensions corresponding to these principal communities. Theoretically, we define the population version of the encoder embedding and the community score based on a random Bernoulli graph distribution. We prove that the population principal graph encoder embedding preserves the conditional density of the vertex labels and that the population community score successfully distinguishes the principal communities. We conduct a variety of simulations to demonstrate the finite-sample accuracy in detecting ground-truth principal communities, as well as the advantages in embedding visualization and subsequent vertex classification. The method is further applied to a set of real-world graphs, showcasing its numerical advantages, including robustness to label noise and computational scalability.
Abstract:We review sufficient dimension reduction (SDR) estimators with multivariate response in this paper. A wide range of SDR methods are characterized as inverse regression SDR estimators or forward regression SDR estimators. The inverse regression family include pooled marginal estimators, projective resampling estimators, and distance-based estimators. Ordinary least squares, partial least squares, and semiparametric SDR estimators, on the other hand, are discussed as estimators from the forward regression family.



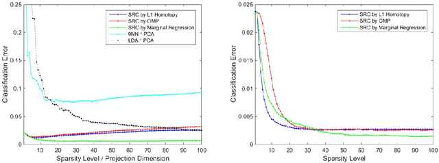
Abstract:The sparse representation classifier (SRC) is shown to work well for image recognition problems that satisfy a subspace assumption. In this paper we propose a new implementation of SRC via screening, establish its equivalence to the original SRC under regularity conditions, and prove its classification consistency for random graphs drawn from stochastic blockmodels. The results are demonstrated via simulations and real data experiments, where the new algorithm achieves comparable numerical performance but significantly faster.




Abstract:The sparse representation classifier (SRC) has been utilized in various classification problems, which makes use of L1 minimization and is shown to work well for image recognition problems that satisfy a subspace assumption. In this paper we propose a new implementation of SRC via screening, establish its equivalence to the original SRC under regularity conditions, and prove its classification consistency under a latent subspace model. The results are demonstrated via simulations and real data experiments, where the new algorithm achieves comparable numerical performance but significantly faster.