



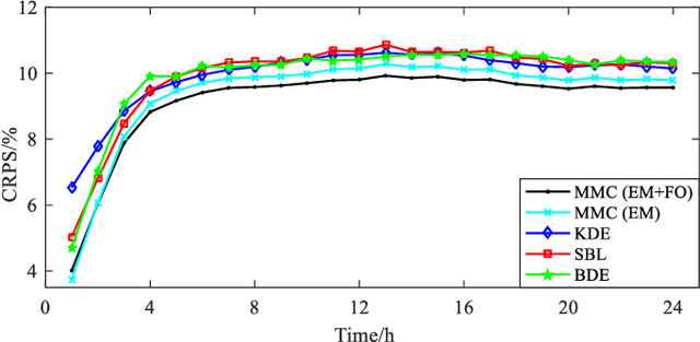
Abstract:Short-term probabilistic wind power forecasting can provide critical quantified uncertainty information of wind generation for power system operation and control. As the complicated characteristics of wind power prediction error, it would be difficult to develop a universal forecasting model dominating over other alternative models. Therefore, a novel multi-model combination (MMC) approach for short-term probabilistic wind generation forecasting is proposed in this paper to exploit the advantages of different forecasting models. The proposed approach can combine different forecasting models those provide different kinds of probability density functions to improve the probabilistic forecast accuracy. Three probabilistic forecasting models based on the sparse Bayesian learning, kernel density estimation and beta distribution fitting are used to form the combined model. The parameters of the MMC model are solved based on Bayesian framework. Numerical tests illustrate the effectiveness of the proposed MMC approach.
