Abstract:Accurate and efficient multivariate time series (MTS) forecasting is essential for applications such as traffic management and weather prediction, which depend on capturing long-range temporal dependencies and interactions between entities. Existing methods, particularly those based on Transformer architectures, compute pairwise dependencies across all time steps, leading to a computational complexity that scales quadratically with the length of the input. To overcome these challenges, we introduce the Forecaster with Offline Clustering Using Segments (FOCUS), a novel approach to MTS forecasting that simplifies long-range dependency modeling through the use of prototypes extracted via offline clustering. These prototypes encapsulate high-level events in the real-world system underlying the data, summarizing the key characteristics of similar time segments. In the online phase, FOCUS dynamically adapts these patterns to the current input and captures dependencies between the input segment and high-level events, enabling both accurate and efficient forecasting. By identifying prototypes during the offline clustering phase, FOCUS reduces the computational complexity of modeling long-range dependencies in the online phase to linear scaling. Extensive experiments across diverse benchmarks demonstrate that FOCUS achieves state-of-the-art accuracy while significantly reducing computational costs.




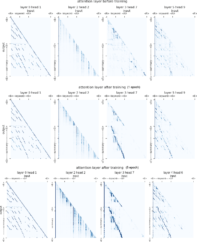
Abstract:With the COVID-19 pandemic, there is a growing urgency for medical community to keep up with the accelerating growth in the new coronavirus-related literature. As a result, the COVID-19 Open Research Dataset Challenge has released a corpus of scholarly articles and is calling for machine learning approaches to help bridging the gap between the researchers and the rapidly growing publications. Here, we take advantage of the recent advances in pre-trained NLP models, BERT and OpenAI GPT-2, to solve this challenge by performing text summarization on this dataset. We evaluate the results using ROUGE scores and visual inspection. Our model provides abstractive and comprehensive information based on keywords extracted from the original articles. Our work can help the the medical community, by providing succinct summaries of articles for which the abstract are not already available.