


Abstract:Index modulation (IM) significantly enhances the spectral efficiency of fluid antennas (FAs) enabled multiple-input multiple-output (MIMO) systems, which is named FA-IM. However, due to the dense distribution of ports on fluid antennas, the wireless channel exhibits a high spatial correlation, resulting in severe performance degradation in the existing FA-IM scheme. This paper proposes a novel fluid antenna grouping index modulation (FA-GIM) scheme to mitigate the spatial correlation of the FA-IM channel, further enhancing system performance. Based on the spatial correlation model of two-dimensional (2D) fluid antenna surfaces, this paper specifically adopts a block grouping method where adjacent ports are allocated to the same group. The numerical results demonstrate that the proposed scheme exhibits superior bit error rate (BER) performance compared to the state-of-the-art scheme, enhancing the robustness of FA-assisted MIMO systems.




Abstract:Spatial Modulation (SM) can utilize the index of the transmit antenna (TA) to transmit additional information. In this paper, to improve the performance of SM, a non-uniform constellation (NUC) and pre-scaling coefficients optimization design scheme is proposed. The bit-interleaved coded modulation (BICM) capacity calculation formula of SM system is firstly derived. The constellation and pre-scaling coefficients are optimized by maximizing the BICM capacity without channel state information (CSI) feedback. Optimization results are given for the multiple-input-single-output (MISO) system with Rayleigh channel. Simulation result shows the proposed scheme provides a meaningful performance gain compared to conventional SM system without CSI feedback. The proposed optimization design scheme can be a promising technology for future 6G to achieve high-efficiency.




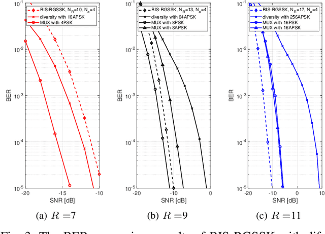
Abstract:In this paper, the receive generalized spatial modulation (RGSM) scheme with reconfigurable intelligent surfaces (RIS) assistance is proposed. The RIS group controllers change the reflected phases of the RIS elements to achieve the selection of receive antennas and phase shift keying (PSK) modulation, and the amplitudes of the received symbols are adjusted by changing the activation states of the elements to achieve amplitude phase shift keying (APSK) modulation. Compared with the existing RIS-aided receive generalized space shift keying (RIS-RGSSK) scheme, the proposed scheme realizes that the selected antennas respectively receive different modulation symbols, and only adds the process to control the modulated phases and the activation states of elements. The proposed scheme has better bit error rate (BER) performance than the RIS-RGSSK scheme at the same rate. In addition, the results show that for low modulation orders, the proposed scheme will perform better with PSK, while for high modulation order, APSK is better. The proposed scheme is a promising scheme for future wireless communication to achieve high-efficiency.