



Abstract:We train active neural-network flow controllers using a deep learning PDE augmentation method to optimize lift-to-drag ratios in turbulent airfoil flows at Reynolds number $5\times10^4$ and Mach number 0.4. Direct numerical simulation and large eddy simulation are employed to model compressible, unconfined flow over two- and three-dimensional semi-infinite NACA 0012 airfoils at angles of attack $\alpha = 5^\circ$, $10^\circ$, and $15^\circ$. Control actions, implemented through a blowing/suction jet at a fixed location and geometry on the upper surface, are adaptively determined by a neural network that maps local pressure measurements to optimal jet total pressure, enabling a sensor-informed control policy that responds spatially and temporally to unsteady flow conditions. The sensitivities of the flow to the neural network parameters are computed using the adjoint Navier-Stokes equations, which we construct using automatic differentiation applied to the flow solver. The trained flow controllers significantly improve the lift-to-drag ratios and reduce flow separation for both two- and three-dimensional airfoil flows, especially at $\alpha = 5^\circ$ and $10^\circ$. The 2D-trained models remain effective when applied out-of-sample to 3D flows, which demonstrates the robustness of the adjoint-trained control approach. The 3D-trained models capture the flow dynamics even more effectively, which leads to better energy efficiency and comparable performance for both adaptive (neural network) and offline (simplified, constant-pressure) controllers. These results underscore the effectiveness of this learning-based approach in improving aerodynamic performance.




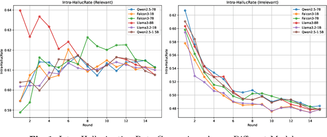
Abstract:Hallucinations -- plausible yet erroneous outputs -- remain a critical barrier to reliable deployment of large language models (LLMs). We present the first systematic study linking hallucination incidence to internal-state drift induced by incremental context injection. Using TruthfulQA, we construct two 16-round "titration" tracks per question: one appends relevant but partially flawed snippets, the other injects deliberately misleading content. Across six open-source LLMs, we track overt hallucination rates with a tri-perspective detector and covert dynamics via cosine, entropy, JS and Spearman drifts of hidden states and attention maps. Results reveal (1) monotonic growth of hallucination frequency and representation drift that plateaus after 5--7 rounds; (2) relevant context drives deeper semantic assimilation, producing high-confidence "self-consistent" hallucinations, whereas irrelevant context induces topic-drift errors anchored by attention re-routing; and (3) convergence of JS-Drift ($\sim0.69$) and Spearman-Drift ($\sim0$) marks an "attention-locking" threshold beyond which hallucinations solidify and become resistant to correction. Correlation analyses expose a seesaw between assimilation capacity and attention diffusion, clarifying size-dependent error modes. These findings supply empirical foundations for intrinsic hallucination prediction and context-aware mitigation mechanisms.