



Abstract:Interactive feedback, where feedback flows in both directions between teacher and student, is more effective than traditional one-way feedback. However, it is often too time-consuming for widespread use in educational practice. While Large Language Models (LLMs) have potential for automating feedback, they struggle with reasoning and interaction in an interactive setting. This paper introduces CAELF, a Contestable AI Empowered LLM Framework for automating interactive feedback. CAELF allows students to query, challenge, and clarify their feedback by integrating a multi-agent system with computational argumentation. Essays are first assessed by multiple Teaching-Assistant Agents (TA Agents), and then a Teacher Agent aggregates the evaluations through formal reasoning to generate feedback and grades. Students can further engage with the feedback to refine their understanding. A case study on 500 critical thinking essays with user studies demonstrates that CAELF significantly improves interactive feedback, enhancing the reasoning and interaction capabilities of LLMs. This approach offers a promising solution to overcoming the time and resource barriers that have limited the adoption of interactive feedback in educational settings.
Abstract:Deep Neural Networks (DNNs) stand out as one of the most prominent approaches within the Machine Learning (ML) domain. The efficacy of DNNs has surged alongside recent increases in computational capacity, allowing these approaches to scale to significant complexities for addressing predictive challenges in big data. However, as the complexity of DNN models rises, interpretability diminishes. In response to this challenge, explainable models such as Adversarial Gradient Integration (AGI) leverage path-based gradients provided by DNNs to elucidate their decisions. Yet the performance of path-based explainers can be compromised when gradients exhibit irregularities during out-of-distribution path traversal. In this context, we introduce Quantified Uncertainty Counterfactual Explanations (QUCE), a method designed to mitigate out-of-distribution traversal by minimizing path uncertainty. QUCE not only quantifies uncertainty when presenting explanations but also generates more certain counterfactual examples. We showcase the performance of the QUCE method by comparing it with competing methods for both path-based explanations and generative counterfactual examples. The code repository for the QUCE method is available at: https://github.com/jamie-duell/QUCE.
Abstract:We study the impacts of business cycles on machine learning (ML) predictions. Using the S&P 500 index, we find that ML models perform worse during most recessions, and the inclusion of recession history or the risk-free rate does not necessarily improve their performance. Investigating recessions where models perform well, we find that they exhibit lower market volatility than other recessions. This implies that the improved performance is not due to the merit of ML methods but rather factors such as effective monetary policies that stabilized the market. We recommend that ML practitioners evaluate their models during both recessions and expansions.




Abstract:Feature attribution XAI algorithms enable their users to gain insight into the underlying patterns of large datasets through their feature importance calculation. Existing feature attribution algorithms treat all features in a dataset homogeneously, which may lead to misinterpretation of consequences of changing feature values. In this work, we consider partitioning features into controllable and uncontrollable parts and propose the Controllable fActor Feature Attribution (CAFA) approach to compute the relative importance of controllable features. We carried out experiments applying CAFA to two existing datasets and our own COVID-19 non-pharmaceutical control measures dataset. Experimental results show that with CAFA, we are able to exclude influences from uncontrollable features in our explanation while keeping the full dataset for prediction.




Abstract:It is widely acknowledged that transparency of automated decision making is crucial for deployability of intelligent systems, and explaining the reasons why some decisions are "good" and some are not is a way to achieving this transparency. We consider two variants of decision making, where "good" decisions amount to alternatives (i) meeting "most" goals, and (ii) meeting "most preferred" goals. We then define, for each variant and notion of "goodness" (corresponding to a number of existing notions in the literature), explanations in two formats, for justifying the selection of an alternative to audiences with differing needs and competences: lean explanations, in terms of goals satisfied and, for some notions of "goodness", alternative decisions, and argumentative explanations, reflecting the decision process leading to the selection, while corresponding to the lean explanations. To define argumentative explanations, we use assumption-based argumentation (ABA), a well-known form of structured argumentation. Specifically, we define ABA frameworks such that "good" decisions are admissible ABA arguments and draw argumentative explanations from dispute trees sanctioning this admissibility. Finally, we instantiate our overall framework for explainable decision-making to accommodate connections between goals and decisions in terms of decision graphs incorporating defeasible and non-defeasible information.




Abstract:eXplainable Artificial Intelligence (XAI) is a sub-field of Artificial Intelligence (AI) that is at the forefront of AI research. In XAI feature attribution methods produce explanations in the form of feature importance. A limitation of existing feature attribution methods is that there is a lack of explanation towards the consequence of intervention. Although contribution towards a certain prediction is highlighted, the influence between features and the consequence of intervention is not addressed. The aim of this paper is to introduce a new framework to look deeper into explanations using graph representation for feature-to-feature interactions to improve the interpretability of black-box Machine Learning (ML) models and inform intervention.




Abstract:Explainable AI has attracted much research attention in recent years with feature attribution algorithms, which compute "feature importance" in predictions, becoming increasingly popular. However, there is little analysis of the validity of these algorithms as there is no "ground truth" in the existing datasets to validate their correctness. In this work, we develop a method to quantitatively evaluate the correctness of XAI algorithms by creating datasets with known explanation ground truth. To this end, we focus on the binary classification problems. String datasets are constructed using formal language derived from a grammar. A string is positive if and only if a certain property is fulfilled. Symbols serving as explanation ground truth in a positive string are part of an explanation if and only if they contributes to fulfilling the property. Two popular feature attribution explainers, Local Interpretable Model-agnostic Explanations (LIME) and SHapley Additive exPlanations (SHAP), are used in our experiments.We show that: (1) classification accuracy is positively correlated with explanation accuracy; (2) SHAP provides more accurate explanations than LIME; (3) explanation accuracy is negatively correlated with dataset complexity.




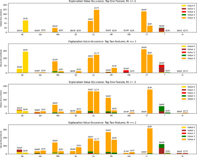
Abstract:Since COVID-19 was first identified in December 2019, various public health interventions have been implemented across the world. As different measures are implemented at different countries at different times, we conduct an assessment of the relative effectiveness of the measures implemented in 18 countries and regions using data from 22/01/2020 to 02/04/2020. We compute the top one and two measures that are most effective for the countries and regions studied during the period. Two Explainable AI techniques, SHAP and ECPI, are used in our study; such that we construct (machine learning) models for predicting the instantaneous reproduction number ($R_t$) and use the models as surrogates to the real world and inputs that the greatest influence to our models are seen as measures that are most effective. Across-the-board, city lockdown and contact tracing are the two most effective measures. For ensuring $R_t<1$, public wearing face masks is also important. Mass testing alone is not the most effective measure although when paired with other measures, it can be effective. Warm temperature helps for reducing the transmission.




Abstract:The overarching goal of Explainable AI is to develop systems that not only exhibit intelligent behaviours, but also are able to explain their rationale and reveal insights. In explainable machine learning, methods that produce a high level of prediction accuracy as well as transparent explanations are valuable. In this work, we present an explainable classification method. Our method works by first constructing a symbolic Knowledge Base from the training data, and then performing probabilistic inferences on such Knowledge Base with linear programming. Our approach achieves a level of learning performance comparable to that of traditional classifiers such as random forests, support vector machines and neural networks. It identifies decisive features that are responsible for a classification as explanations and produces results similar to the ones found by SHAP, a state of the art Shapley Value based method. Our algorithms perform well on a range of synthetic and non-synthetic data sets.