



Abstract:Multi-user multiple-input multiple-output (MU-MIMO) systems allow multiple users to share the same wireless spectrum. Each user transmits one symbol drawn from an M-ary quadrature amplitude modulation (M-QAM) constellation set, and the resulting multi-user interference (MUI) is cancelled at the receiver. End-to-End (E2E) learning has recently been proposed to jointly design the constellation set for a modulator and symbol detector for a single user under an additive white Gaussian noise (AWGN) channel by using deep neural networks (DNN) with a symbol-error-rate (SER) performance, exceeding that of Maximum likelihood (ML) M-QAM detectors. In this paper, we extend the E2E concept to the MU-MIMO systems, where a DNN-based modulator that generates learned M constellation points and graph expectation propagation network (GEPNet) detector that cancels MUI are jointly optimised with respect to SER performance loss. Simulation results demonstrate that the proposed E2E with learned constellation outperforms GEPNet with 16-QAM by around 5 dB in terms of SER in a high MUI environment and even surpasses ML with 16-QAM in a low MUI condition, both with no additional computational complexity.




Abstract:Inter-carrier interference (ICI) caused by mobile reflectors significantly degrades the conventional orthogonal frequency division multiplexing (OFDM) performance in high-mobility environments. The orthogonal time frequency space (OTFS) modulation system effectively represents ICI in the delay-Doppler domain, thus significantly outperforming OFDM. Existing iterative and neural network (NN) based OTFS detectors suffer from high complex matrix operations and performance degradation in untrained environments, where the real wireless channel does not match the one used in the training, which often happens in real wireless networks. In this paper, we propose to embed the prior knowledge of interference extracted from the estimated channel state information (CSI) as a directed graph into a decoder untrained neural network (DUNN), namely graph-based DUNN (GDUNN). We then combine it with Bayesian parallel interference cancellation (BPIC) for OTFS symbol detection, resulting in GDUNN-BPIC. Simulation results show that the proposed GDUNN-BPIC outperforms state-of-the-art OTFS detectors under imperfect CSI.




Abstract:This paper considers opportunistic scheduler (OS) design using statistical channel state information~(CSI). We apply max-weight schedulers (MWSs) to maximize a utility function of users' average data rates. MWSs schedule the user with the highest weighted instantaneous data rate every time slot. Existing methods require hundreds of time slots to adjust the MWS's weights according to the instantaneous CSI before finding the optimal weights that maximize the utility function. In contrast, our MWS design requires few slots for estimating the statistical CSI. Specifically, we formulate a weight optimization problem using the mean and variance of users' signal-to-noise ratios (SNRs) to construct constraints bounding users' feasible average rates. Here, the utility function is the formulated objective, and the MWS's weights are optimization variables. We develop an iterative solver for the problem and prove that it finds the optimal weights. We also design an online architecture where the solver adaptively generates optimal weights for networks with varying mean and variance of the SNRs. Simulations show that our methods effectively require $4\sim10$ times fewer slots to find the optimal weights and achieve $5\sim15\%$ better average rates than the existing methods.
Abstract:Restricted access window (RAW) in Wi-Fi 802.11ah networks manages contention and interference by grouping users and allocating periodic time slots for each group's transmissions. We will find the optimal user grouping decisions in RAW to maximize the network's worst-case user throughput. We review existing user grouping approaches and highlight their performance limitations in the above problem. We propose formulating user grouping as a graph construction problem where vertices represent users and edge weights indicate the contention and interference. This formulation leverages the graph's max cut to group users and optimizes edge weights to construct the optimal graph whose max cut yields the optimal grouping decisions. To achieve this optimal graph construction, we design an actor-critic graph representation learning (AC-GRL) algorithm. Specifically, the actor neural network (NN) is trained to estimate the optimal graph's edge weights using path losses between users and access points. A graph cut procedure uses semidefinite programming to solve the max cut efficiently and return the grouping decisions for the given weights. The critic NN approximates user throughput achieved by the above-returned decisions and is used to improve the actor. Additionally, we present an architecture that uses the online-measured throughput and path losses to fine-tune the decisions in response to changes in user populations and their locations. Simulations show that our methods achieve $30\%\sim80\%$ higher worst-case user throughput than the existing approaches and that the proposed architecture can further improve the worst-case user throughput by $5\%\sim30\%$ while ensuring timely updates of grouping decisions.
Abstract:The orthogonal time frequency space (OTFS) symbol detector design for high mobility communication scenarios has received numerous attention lately. Current state-of-the-art OTFS detectors mainly can be divided into two categories; iterative and training-based deep neural network (DNN) detectors. Many practical iterative detectors rely on minimum-mean-square-error (MMSE) denoiser to get the initial symbol estimates. However, their computational complexity increases exponentially with the number of detected symbols. Training-based DNN detectors typically suffer from dependency on the availability of large computation resources and the fidelity of synthetic datasets for the training phase, which are both costly. In this paper, we propose an untrained DNN based on the deep image prior (DIP) and decoder architecture, referred to as D-DIP that replaces the MMSE denoiser in the iterative detector. DIP is a type of DNN that requires no training, which makes it beneficial in OTFS detector design. Then we propose to combine the D-DIP denoiser with the Bayesian parallel interference cancellation (BPIC) detector to perform iterative symbol detection, referred to as D-DIP-BPIC. Our simulation results show that the symbol error rate (SER) performance of the proposed D-DIP-BPIC detector outperforms practical state-of-the-art detectors by 0.5 dB and retains low computational complexity.




Abstract:In this paper, we aim to improve the Quality-of-Service (QoS) of Ultra-Reliability and Low-Latency Communications (URLLC) in interference-limited wireless networks. To obtain time diversity within the channel coherence time, we first put forward a random repetition scheme that randomizes the interference power. Then, we optimize the number of reserved slots and the number of repetitions for each packet to minimize the QoS violation probability, defined as the percentage of users that cannot achieve URLLC. We build a cascaded Random Edge Graph Neural Network (REGNN) to represent the repetition scheme and develop a model-free unsupervised learning method to train it. We analyze the QoS violation probability using stochastic geometry in a symmetric scenario and apply a model-based Exhaustive Search (ES) method to find the optimal solution. Simulation results show that in the symmetric scenario, the QoS violation probabilities achieved by the model-free learning method and the model-based ES method are nearly the same. In more general scenarios, the cascaded REGNN generalizes very well in wireless networks with different scales, network topologies, cell densities, and frequency reuse factors. It outperforms the model-based ES method in the presence of the model mismatch.




Abstract:The orthogonal time-frequency space (OTFS) modulation is proposed for beyond 5G wireless systems to deal with high mobility communications. The existing low complexity OTFS detectors exhibit poor performance in rich scattering environments where there are a large number of moving reflectors that reflect the transmitted signal towards the receiver. In this paper, we propose an OTFS detector, referred to as the BPICNet OTFS detector that integrates NN, Bayesian inference, and parallel interference cancellation concepts. Simulation results show that the proposed OTFS detector significantly outperforms the state-of-the-art.




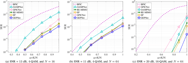
Abstract:Multi-user multiple-input multiple-output (MU-MIMO) systems can be used to meet high throughput requirements of 5G and beyond networks. A base station serves many users in an uplink MU-MIMO system, leading to a substantial multi-user interference (MUI). Designing a high-performance detector for dealing with a strong MUI is challenging. This paper analyses the performance degradation caused by the posterior distribution approximation used in the state-of-the-art message passing (MP) detectors in the presence of high MUI. We develop a graph neural network based framework to fine-tune the MP detectors' cavity distributions and thus improve the posterior distribution approximation in the MP detectors. We then propose two novel neural network based detectors which rely on the expectation propagation (EP) and Bayesian parallel interference cancellation (BPIC), referred to as the GEPNet and GPICNet detectors, respectively. The GEPNet detector maximizes detection performance, while GPICNet detector balances the performance and complexity. We provide proof of the permutation equivariance property, allowing the detectors to be trained only once, even in the systems with dynamic changes of the number of users. The simulation results show that the proposed GEPNet detector performance approaches maximum likelihood performance in various configurations and GPICNet detector doubles the multiplexing gain of BPIC detector.




Abstract:Multiuser massive multiple-input multiple-output (MU-MIMO) systems can be used to meet high throughput requirements of 5G and beyond networks. In an uplink MUMIMO system, a base station is serving a large number of users, leading to a strong multi-user interference (MUI). Designing a high performance detector in the presence of a strong MUI is a challenging problem. This work proposes a novel detector based on the concepts of expectation propagation (EP) and graph neural network, referred to as the GEPNet detector, addressing the limitation of the independent Gaussian approximation in EP. The simulation results show that the proposed GEPNet detector significantly outperforms the state-of-the-art MU-MIMO detectors in strong MUI scenarios with equal number of transmit and receive antennas.




Abstract:Recently, the orthogonal time frequency space (OTFS) modulation is proposed for 6G wireless system to deal with high Doppler spread. The high Doppler spread happens when the transmitted signal is reflected towards the receiver by fast moving objects (e.g. high speed cars), which causes inter-carrier interference (ICI). Recent state-of-the-art OTFS detectors fail to achieve an acceptable bit-error-rate (BER) performance as the number of mobile reflectors increases which in turn, results in high inter-carrier-interference (ICI). In this paper, we propose a novel detector for OTFS systems, referred to as the Bayesian based parallel interference and decision statistics combining (B-PIC-DSC) OTFS detector that can achieve a high BER performance, under high ICI environments. The B-PIC-DSC OTFS detector employs the PIC and DSC schemes to iteratively cancel the interference, and the Bayesian concept to take the probability measure into the consideration when refining the transmitted symbols. Our simulation results show that in contrast to the state-of-the-art OTFS detectors, the proposed detector is able to achieve a BER of less than $10^{-5}$, when SNR is over $14$ dB, under high ICI environments.