



Abstract:Multi-user multiple-input multiple-output (MU-MIMO) systems can be used to meet high throughput requirements of 5G and beyond networks. A base station serves many users in an uplink MU-MIMO system, leading to a substantial multi-user interference (MUI). Designing a high-performance detector for dealing with a strong MUI is challenging. This paper analyses the performance degradation caused by the posterior distribution approximation used in the state-of-the-art message passing (MP) detectors in the presence of high MUI. We develop a graph neural network based framework to fine-tune the MP detectors' cavity distributions and thus improve the posterior distribution approximation in the MP detectors. We then propose two novel neural network based detectors which rely on the expectation propagation (EP) and Bayesian parallel interference cancellation (BPIC), referred to as the GEPNet and GPICNet detectors, respectively. The GEPNet detector maximizes detection performance, while GPICNet detector balances the performance and complexity. We provide proof of the permutation equivariance property, allowing the detectors to be trained only once, even in the systems with dynamic changes of the number of users. The simulation results show that the proposed GEPNet detector performance approaches maximum likelihood performance in various configurations and GPICNet detector doubles the multiplexing gain of BPIC detector.




Abstract:Multiuser massive multiple-input multiple-output (MU-MIMO) systems can be used to meet high throughput requirements of 5G and beyond networks. In an uplink MUMIMO system, a base station is serving a large number of users, leading to a strong multi-user interference (MUI). Designing a high performance detector in the presence of a strong MUI is a challenging problem. This work proposes a novel detector based on the concepts of expectation propagation (EP) and graph neural network, referred to as the GEPNet detector, addressing the limitation of the independent Gaussian approximation in EP. The simulation results show that the proposed GEPNet detector significantly outperforms the state-of-the-art MU-MIMO detectors in strong MUI scenarios with equal number of transmit and receive antennas.




Abstract:Cell-free (CF) massive multiple-input multiple-output (M-MIMO) technology plays a prominent role in the beyond fifth-generation (5G) networks. However, designing a high performance CF M-MIMO detector is a challenging task due to the presence of pilot contamination which appears when the number of pilot sequences is smaller than the number of users. This work proposes a CF M-MIMO detector referred to as CF expectation propagation (CF-EP) that incorporates the pilot contamination when calculating the posterior belief. The simulation results show that the proposed detector achieves significant improvements in terms of the bit-error rate and sum spectral efficiency performances as compared to the ones of the state-of-the-art CF detectors.




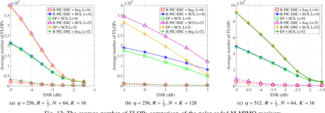
Abstract:The stringent requirements on reliability and processing delay in the fifth-generation ($5$G) cellular networks introduce considerable challenges in the design of massive multiple-input-multiple-output (M-MIMO) receivers. The two main components of an M-MIMO receiver are a detector and a decoder. To improve the trade-off between reliability and complexity, a Bayesian concept has been considered as a promising approach that enhances classical detectors, e.g. minimum-mean-square-error detector. This work proposes an iterative M-MIMO detector based on a Bayesian framework, a parallel interference cancellation scheme, and a decision statistics combining concept. We then develop a high performance M-MIMO receiver, integrating the proposed detector with a low complexity sequential decoding for polar codes. Simulation results of the proposed detector show a significant performance gain compared to other low complexity detectors. Furthermore, the proposed M-MIMO receiver with sequential decoding ensures one order magnitude lower complexity compared to a receiver with stack successive cancellation decoding for polar codes from the 5G New Radio standard.