



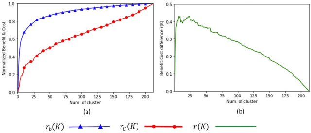
Abstract:This study considers that the collective route choices of travelers en route represent a resolution of their competition on network routes. Well understanding this competition and coordinating their route choices help mitigate urban traffic congestion. Even though existing studies have developed such mechanisms (e.g., the CRM [1]), we still lack the quantitative method to evaluate the coordination penitential and identify proper coordination groups (CG) to implement the CRM. Thus, they hit prohibitive computing difficulty when implemented with many opt-in travelers. Motived by this view, this study develops mathematical approaches to quantify the coordination potential between two and among multiple travelers. Next, we develop the adaptive centroid-based clustering algorithm (ACCA), which splits travelers en route in a local network into CGs, each with proper size and strong coordination potential. Moreover, the ACCA is statistically secured to stop at a local optimal clustering solution, which balances the inner-cluster and inter-cluster coordination potential. It can be implemented by parallel computation to accelerate its computing efficiency. Furthermore, we propose a clustering based coordinated routing mechanism (CB-CRM), which implements a CRM on each individual CG. The numerical experiments built upon both Sioux Falls and Hardee city networks show that the ACCA works efficiently to form proper coordination groups so that as compared to the CRM, the CB-CRM significantly improves computation efficiency with minor system performance loss in a large network. This merit becomes more apparent under high penetration and congested traffic condition. Last, the experiments validate the good features of the ACCA as well as the value of implementing parallel computation.




Abstract:A famous biologically inspired hierarchical model firstly proposed by Riesenhuber and Poggio has been successfully applied to multiple visual recognition tasks. The model is able to achieve a set of position- and scale-tolerant recognition, which is a central problem in pattern recognition. In this paper, based on some other biological experimental results, we introduce the Memory and Association Mechanisms into the above biologically inspired model. The main motivations of the work are (a) to mimic the active memory and association mechanism and add the 'top down' adjustment to the above biologically inspired hierarchical model and (b) to build up an algorithm which can save the space and keep a good recognition performance. The new model is also applied to object recognition processes. The primary experimental results show that our method is efficient with much less memory requirement.