



Abstract:In this paper, a proactive dynamic spectrum sharing scheme between 4G and 5G systems is proposed. In particular, a controller decides on the resource split between NR and LTE every subframe while accounting for future network states such as high interference subframes and multimedia broadcast single frequency network (MBSFN) subframes. To solve this problem, a deep reinforcement learning (RL) algorithm based on Monte Carlo Tree Search (MCTS) is proposed. The introduced deep RL architecture is trained offline whereby the controller predicts a sequence of future states of the wireless access network by simulating hypothetical bandwidth splits over time starting from the current network state. The action sequence resulting in the best reward is then assigned. This is realized by predicting the quantities most directly relevant to planning, i.e., the reward, the action probabilities, and the value for each network state. Simulation results show that the proposed scheme is able to take actions while accounting for future states instead of being greedy in each subframe. The results also show that the proposed framework improves system-level performance.





Abstract:A challenge for rescue teams when fighting against wildfire in remote areas is the lack of information, such as the size and images of fire areas. As such, live streaming from Unmanned Aerial Vehicles (UAVs), capturing videos of dynamic fire areas, is crucial for firefighter commanders in any location to monitor the fire situation with quick response. The 5G network is a promising wireless technology to support such scenarios. In this paper, we consider a UAV-to-UAV (U2U) communication scenario, where a UAV at a high altitude acts as a mobile base station (UAV-BS) to stream videos from other flying UAV-users (UAV-UEs) through the uplink. Due to the mobility of the UAV-BS and UAV-UEs, it is important to determine the optimal movements and transmission powers for UAV-BSs and UAV-UEs in real-time, so as to maximize the data rate of video transmission with smoothness and low latency, while mitigating the interference according to the dynamics in fire areas and wireless channel conditions. In this paper, we co-design the video resolution, the movement, and the power control of UAV-BS and UAV-UEs to maximize the Quality of Experience (QoE) of real-time video streaming. To learn the Deep Q-Network (DQN) and Actor-Critic (AC) to maximize the QoE of video transmission from all UAV-UEs to a single UAVBS. Simulation results show the effectiveness of our proposed algorithm in terms of the QoE, delay and video smoothness as compared to the Greedy algorithm.





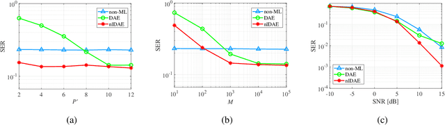
Abstract:This letter introduces a new denoiser that modifies the structure of denoising autoencoder (DAE), namely noise learning based DAE (nlDAE). The proposed nlDAE learns the noise instead of the original data. Then, the denoising is performed by subtracting the regenerated noise from the noisy input. Hence, nlDAE is more effective than DAE when the noise is simpler to regenerate than the original data. To validate the performance of nlDAE, we provide two case studies: symbol demodulation and precise localization. Numerical results suggest that nlDAE requires smaller latent space dimension and less training dataset compared to DAE.





Abstract:Artificial intelligence (AI) powered wireless networks promise to revolutionize the conventional operation and structure of current networks from network design to infrastructure management, cost reduction, and user performance improvement. Empowering future networks with AI functionalities will enable a shift from reactive/incident driven operations to proactive/data driven operations. This paper provides an overview on the integration of AI functionalities in 5G and beyond networks. Key factors for successful AI integration such as data, real-time network intelligence, security, and augmentation of human intelligence are highlighted. We also summarize the various types of network intelligence as well as machine learning based air interface in future networks. Use case examples for the application of AI to the wireless domain are then summarized. We highlight on applications to the physical layer, radio resource management, mobility management, wireless security, and localization.





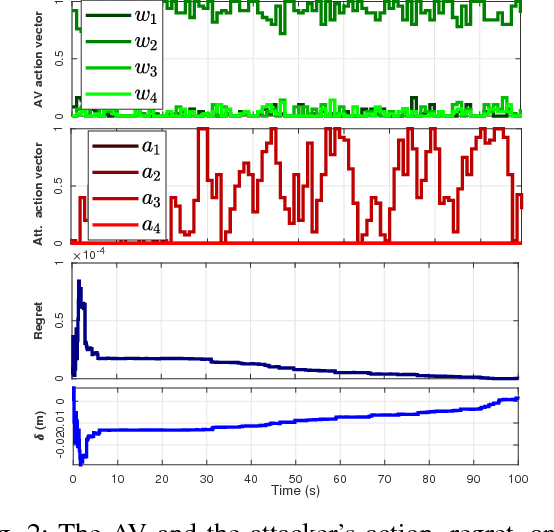
Abstract:To operate effectively in tomorrow's smart cities, autonomous vehicles (AVs) must rely on intra-vehicle sensors such as camera and radar as well as inter-vehicle communication. Such dependence on sensors and communication links exposes AVs to cyber-physical (CP) attacks by adversaries that seek to take control of the AVs by manipulating their data. Thus, to ensure safe and optimal AV dynamics control, the data processing functions at AVs must be robust to such CP attacks. To this end, in this paper, the state estimation process for monitoring AV dynamics, in presence of CP attacks, is analyzed and a novel adversarial deep reinforcement learning (RL) algorithm is proposed to maximize the robustness of AV dynamics control to CP attacks. The attacker's action and the AV's reaction to CP attacks are studied in a game-theoretic framework. In the formulated game, the attacker seeks to inject faulty data to AV sensor readings so as to manipulate the inter-vehicle optimal safe spacing and potentially increase the risk of AV accidents or reduce the vehicle flow on the roads. Meanwhile, the AV, acting as a defender, seeks to minimize the deviations of spacing so as to ensure robustness to the attacker's actions. Since the AV has no information about the attacker's action and due to the infinite possibilities for data value manipulations, the outcome of the players' past interactions are fed to long-short term memory (LSTM) blocks. Each player's LSTM block learns the expected spacing deviation resulting from its own action and feeds it to its RL algorithm. Then, the the attacker's RL algorithm chooses the action which maximizes the spacing deviation, while the AV's RL algorithm tries to find the optimal action that minimizes such deviation.





Abstract:Cellular-connected unmanned aerial vehicles (UAVs) will inevitably be integrated into future cellular networks as new aerial mobile users. Providing cellular connectivity to UAVs will enable a myriad of applications ranging from online video streaming to medical delivery. However, to enable a reliable wireless connectivity for the UAVs as well as a secure operation, various challenges need to be addressed such as interference management, mobility management and handover, cyber-physical attacks, and authentication. In this paper, the goal is to expose the wireless and security challenges that arise in the context of UAV-based delivery systems, UAV-based real-time multimedia streaming, and UAV-enabled intelligent transportation systems. To address such challenges, artificial neural network (ANN) based solution schemes are introduced. The introduced approaches enable the UAVs to adaptively exploit the wireless system resources while guaranteeing a secure operation, in real-time. Preliminary simulation results show the benefits of the introduced solutions for each of the aforementioned cellular-connected UAV application use case.





Abstract:In this paper, an interference-aware path planning scheme for a network of cellular-connected unmanned aerial vehicles (UAVs) is proposed. In particular, each UAV aims at achieving a tradeoff between maximizing energy efficiency and minimizing both wireless latency and the interference level caused on the ground network along its path. The problem is cast as a dynamic game among UAVs. To solve this game, a deep reinforcement learning algorithm, based on echo state network (ESN) cells, is proposed. The introduced deep ESN architecture is trained to allow each UAV to map each observation of the network state to an action, with the goal of minimizing a sequence of time-dependent utility functions. Each UAV uses ESN to learn its optimal path, transmission power level, and cell association vector at different locations along its path. The proposed algorithm is shown to reach a subgame perfect Nash equilibrium (SPNE) upon convergence. Moreover, an upper and lower bound for the altitude of the UAVs is derived thus reducing the computational complexity of the proposed algorithm. Simulation results show that the proposed scheme achieves better wireless latency per UAV and rate per ground user (UE) while requiring a number of steps that is comparable to a heuristic baseline that considers moving via the shortest distance towards the corresponding destinations. The results also show that the optimal altitude of the UAVs varies based on the ground network density and the UE data rate requirements and plays a vital role in minimizing the interference level on the ground UEs as well as the wireless transmission delay of the UAV.





Abstract:Intelligent transportation systems (ITSs) will be a major component of tomorrow's smart cities. However, realizing the true potential of ITSs requires ultra-low latency and reliable data analytics solutions that can combine, in real-time, a heterogeneous mix of data stemming from the ITS network and its environment. Such data analytics capabilities cannot be provided by conventional cloud-centric data processing techniques whose communication and computing latency can be high. Instead, edge-centric solutions that are tailored to the unique ITS environment must be developed. In this paper, an edge analytics architecture for ITSs is introduced in which data is processed at the vehicle or roadside smart sensor level in order to overcome the ITS latency and reliability challenges. With a higher capability of passengers' mobile devices and intra-vehicle processors, such a distributed edge computing architecture can leverage deep learning techniques for reliable mobile sensing in ITSs. In this context, the ITS mobile edge analytics challenges pertaining to heterogeneous data, autonomous control, vehicular platoon control, and cyber-physical security are investigated. Then, different deep learning solutions for such challenges are proposed. The proposed deep learning solutions will enable ITS edge analytics by endowing the ITS devices with powerful computer vision and signal processing functions. Preliminary results show that the proposed edge analytics architecture, coupled with the power of deep learning algorithms, can provide a reliable, secure, and truly smart transportation environment.





Abstract:Next-generation wireless networks must support ultra-reliable, low-latency communication and intelligently manage a massive number of Internet of Things (IoT) devices in real-time, within a highly dynamic environment. This need for stringent communication quality-of-service (QoS) requirements as well as mobile edge and core intelligence can only be realized by integrating fundamental notions of artificial intelligence (AI) and machine learning across the wireless infrastructure and end-user devices. In this context, this paper provides a comprehensive tutorial that introduces the main concepts of machine learning, in general, and artificial neural networks (ANNs), in particular, and their potential applications in wireless communications. For this purpose, we present a comprehensive overview on a number of key types of neural networks that include feed-forward, recurrent, spiking, and deep neural networks. For each type of neural network, we present the basic architecture and training procedure, as well as the associated challenges and opportunities. Then, we provide an in-depth overview on the variety of wireless communication problems that can be addressed using ANNs, ranging from communication using unmanned aerial vehicles to virtual reality and edge caching.For each individual application, we present the main motivation for using ANNs along with the associated challenges while also providing a detailed example for a use case scenario and outlining future works that can be addressed using ANNs. In a nutshell, this article constitutes one of the first holistic tutorials on the development of machine learning techniques tailored to the needs of future wireless networks.





Abstract:LTE in unlicensed spectrum (LTE-U) is a promising approach to overcome the wireless spectrum scarcity. However, to reap the benefits of LTE-U, a fair coexistence mechanism with other incumbent WiFi deployments is required. In this paper, a novel deep learning approach is proposed for modeling the resource allocation problem of LTE-U small base stations (SBSs). The proposed approach enables multiple SBSs to proactively perform dynamic channel selection, carrier aggregation, and fractional spectrum access while guaranteeing fairness with existing WiFi networks and other LTE-U operators. Adopting a proactive coexistence mechanism enables future delay-intolerant LTE-U data demands to be served within a given prediction window ahead of their actual arrival time thus avoiding the underutilization of the unlicensed spectrum during off-peak hours while maximizing the total served LTE-U traffic load. To this end, a noncooperative game model is formulated in which SBSs are modeled as Homo Egualis agents that aim at predicting a sequence of future actions and thus achieving long-term equal weighted fairness with WLAN and other LTE-U operators over a given time horizon. The proposed deep learning algorithm is then shown to reach a mixed-strategy Nash equilibrium (NE), when it converges. Simulation results using real data traces show that the proposed scheme can yield up to 28% and 11% gains over a conventional reactive approach and a proportional fair coexistence mechanism, respectively. The results also show that the proposed framework prevents WiFi performance degradation for a densely deployed LTE-U network.
