



Abstract:We present mmSnap, a collaborative RF sensing framework using multiple radar nodes, and demonstrate its feasibility and efficacy using commercially available mmWave MIMO radars. Collaborative fusion requires network calibration, or estimates of the relative poses (positions and orientations) of the sensors. We experimentally validate a self-calibration algorithm developed in our prior work, which estimates relative poses in closed form by least squares matching of target tracks within the common field of view (FoV). We then develop and demonstrate a Bayesian framework for one-shot fusion of measurements from multiple calibrated nodes, which yields instantaneous estimates of position and velocity vectors that match smoothed estimates from multi-frame tracking. Our experiments, conducted outdoors with two radar nodes tracking a moving human target, validate the core assumptions required to develop a broader set of capabilities for networked sensing with opportunistically deployed nodes.




Abstract:Sensing with RF signals such as mmWave radar has gained considerable interest in recent years. This is particularly relevant to 6G networks, which aim to integrate sensing and communication (ISAC) capabilities for enhanced functionality. The contextual information provided by such sensing, whether collected by standalone non-ISAC units or integrated within ISAC, can not only optimize cellular network assets but can also serve as a valuable tool for a wide range of applications beyond network optimization. In this context, we present a novel methodology for crowd size estimation using monostatic mmWave radar, which is capable of accurately counting large crowds that are unevenly distributed across space. Our estimation approach relies on the rigorous derivation of occlusion probabilities, which are then used to mathematically characterize the probability distributions that describe the number of agents visible to the radar as a function of the crowd size. We then estimate the true crowd size by comparing these derived mathematical models to the empirical distribution of the number of visible agents detected by the radar. This method requires minimal sensing capabilities (e.g., angle-of-arrival information is not needed), thus being well suited for either a dedicated mmWave radar or an ISAC system. Extensive numerical simulations validate our methodology, demonstrating strong performance across diverse spatial distributions and for crowd sizes of up to (and including) 30 agents. We achieve a mean absolute error (MAE) of 0.48 agents, significantly outperforming a baseline which assumes that the agents are uniformly distributed in the area. Overall, our approach holds significant promise for a variety of applications including network resource allocation, crowd management, and urban planning.




Abstract:While much of the rapidly growing literature on fair decision-making focuses on metrics for one-shot decisions, recent work has raised the intriguing possibility of designing sequential decision-making to positively impact long-term social fairness. In selection processes such as college admissions or hiring, biasing slightly towards applicants from under-represented groups is hypothesized to provide positive feedback that increases the pool of under-represented applicants in future selection rounds, thus enhancing fairness in the long term. In this paper, we examine this hypothesis and its consequences in a setting in which multiple agents are selecting from a common pool of applicants. We propose the Multi-agent Fair-Greedy policy, that balances greedy score maximization and fairness. Under this policy, we prove that the resource pool and the admissions converge to a long-term fairness target set by the agents when the score distributions across the groups in the population are identical. We provide empirical evidence of existence of equilibria under non-identical score distributions through synthetic and adapted real-world datasets. We then sound a cautionary note for more complex applicant pool evolution models, under which uncoordinated behavior by the agents can cause negative reinforcement, leading to a reduction in the fraction of under-represented applicants. Our results indicate that, while positive reinforcement is a promising mechanism for long-term fairness, policies must be designed carefully to be robust to variations in the evolution model, with a number of open issues that remain to be explored by algorithm designers, social scientists, and policymakers.




Abstract:State-of-the-art techniques for enhancing robustness of deep networks mostly rely on empirical risk minimization with suitable data augmentation. In this paper, we propose a complementary approach motivated by communication theory, aimed at enhancing the signal-to-noise ratio at the output of a neural network layer via neural competition during learning and inference. In addition to minimization of a standard end-to-end cost, neurons compete to sparsely represent layer inputs by maximization of a tilted exponential (TEXP) objective function for the layer. TEXP learning can be interpreted as maximum likelihood estimation of matched filters under a Gaussian model for data noise. Inference in a TEXP layer is accomplished by replacing batch norm by a tilted softmax, which can be interpreted as computation of posterior probabilities for the competing signaling hypotheses represented by each neuron. After providing insights via simplified models, we show, by experimentation on standard image datasets, that TEXP learning and inference enhances robustness against noise and other common corruptions, without requiring data augmentation. Further cumulative gains in robustness against this array of distortions can be obtained by appropriately combining TEXP with data augmentation techniques.




Abstract:While end-to-end training of Deep Neural Networks (DNNs) yields state of the art performance in an increasing array of applications, it does not provide insight into, or control over, the features being extracted. We report here on a promising neuro-inspired approach to DNNs with sparser and stronger activations. We use standard stochastic gradient training, supplementing the end-to-end discriminative cost function with layer-wise costs promoting Hebbian ("fire together," "wire together") updates for highly active neurons, and anti-Hebbian updates for the remaining neurons. Instead of batch norm, we use divisive normalization of activations (suppressing weak outputs using strong outputs), along with implicit $\ell_2$ normalization of neuronal weights. Experiments with standard image classification tasks on CIFAR-10 demonstrate that, relative to baseline end-to-end trained architectures, our proposed architecture (a) leads to sparser activations (with only a slight compromise on accuracy), (b) exhibits more robustness to noise (without being trained on noisy data), (c) exhibits more robustness to adversarial perturbations (without adversarial training).




Abstract:Speaker recognition, recognizing speaker identities based on voice alone, enables important downstream applications, such as personalization and authentication. Learning speaker representations, in the context of supervised learning, heavily depends on both clean and sufficient labeled data, which is always difficult to acquire. Noisy unlabeled data, on the other hand, also provides valuable information that can be exploited using self-supervised training methods. In this work, we investigate how to pretrain speaker recognition models by leveraging dialogues between customers and smart-speaker devices. However, the supervisory information in such dialogues is inherently noisy, as multiple speakers may speak to a device in the course of the same dialogue. To address this issue, we propose an effective rejection mechanism that selectively learns from dialogues based on their acoustic homogeneity. Both reconstruction-based and contrastive-learning-based self-supervised methods are compared. Experiments demonstrate that the proposed method provides significant performance improvements, superior to earlier work. Dialogue pretraining when combined with the rejection mechanism yields 27.10% equal error rate (EER) reduction in speaker recognition, compared to a model without self-supervised pretraining.




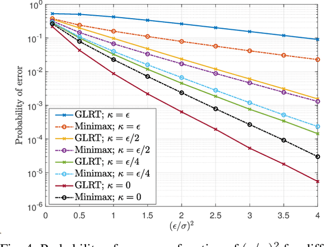
Abstract:Machine learning models are known to be susceptible to adversarial attacks which can cause misclassification by introducing small but well designed perturbations. In this paper, we consider a classical hypothesis testing problem in order to develop fundamental insight into defending against such adversarial perturbations. We interpret an adversarial perturbation as a nuisance parameter, and propose a defense based on applying the generalized likelihood ratio test (GLRT) to the resulting composite hypothesis testing problem, jointly estimating the class of interest and the adversarial perturbation. While the GLRT approach is applicable to general multi-class hypothesis testing, we first evaluate it for binary hypothesis testing in white Gaussian noise under $\ell_{\infty}$ norm-bounded adversarial perturbations, for which a known minimax defense optimizing for the worst-case attack provides a benchmark. We derive the worst-case attack for the GLRT defense, and show that its asymptotic performance (as the dimension of the data increases) approaches that of the minimax defense. For non-asymptotic regimes, we show via simulations that the GLRT defense is competitive with the minimax approach under the worst-case attack, while yielding a better robustness-accuracy tradeoff under weaker attacks. We also illustrate the GLRT approach for a multi-class hypothesis testing problem, for which a minimax strategy is not known, evaluating its performance under both noise-agnostic and noise-aware adversarial settings, by providing a method to find optimal noise-aware attacks, and heuristics to find noise-agnostic attacks that are close to optimal in the high SNR regime.




Abstract:Line-of-sight (LoS) multi-input multi-output (MIMO) systems exhibit attractive scaling properties with increase in carrier frequency: for a fixed form factor and range, the spatial degrees of freedom increase quadratically for 2D arrays, in addition to the typically linear increase in available bandwidth. In this paper, we investigate whether modern all-digital baseband signal processing architectures can be devised for such regimes, given the difficulty of analog-to-digital conversion for large bandwidths. We propose low-precision quantizer designs and accompanying spatial demultiplexing algorithms, considering 2x2 LoS MIMO with QPSK for analytical insight, and 4x4 MIMO with QPSK and 16QAM for performance evaluation. Unlike prior work, channel state information is utilized only at the receiver (i.e., transmit precoding is not employed). We investigate quantizers with regular structure whose high-SNR mutual information approaches that of an unquantized system. We prove that amplitude-phase quantization is necessary to attain this benchmark; phase-only quantization falls short. We show that quantizers based on maximizing per-antenna output entropy perform better than standard Minimum Mean Squared Quantization Error (MMSQE) quantization. For spatial demultiplexing with severely quantized observations, we introduce the novel concept of virtual quantization which, combined with linear detection, provides reliable demodulation at significantly reduced complexity compared to maximum likelihood detection.




Abstract:Deep Neural Networks are known to be vulnerable to small, adversarially crafted, perturbations. The current most effective defense methods against these adversarial attacks are variants of adversarial training. In this paper, we introduce a radically different defense trained only on clean images: a sparse coding based frontend which significantly attenuates adversarial attacks before they reach the classifier. We evaluate our defense on CIFAR-10 dataset under a wide range of attack types (including Linf , L2, and L1 bounded attacks), demonstrating its promise as a general-purpose approach for defense.




Abstract:Deep Neural Networks (DNNs) are vulnerable to adversarial attacks: carefully constructed perturbations to an image can seriously impair classification accuracy, while being imperceptible to humans. While there has been a significant amount of research on defending against such attacks, most defenses based on systematic design principles have been defeated by appropriately modified attacks. For a fixed set of data, the most effective current defense is to train the network using adversarially perturbed examples. In this paper, we investigate a radically different, neuro-inspired defense mechanism, starting from the observation that human vision is virtually unaffected by adversarial examples designed for machines. We aim to reject L^inf bounded adversarial perturbations before they reach a classifier DNN, using an encoder with characteristics commonly observed in biological vision: sparse overcomplete representations, randomness due to synaptic noise, and drastic nonlinearities. Encoder training is unsupervised, using standard dictionary learning. A CNN-based decoder restores the size of the encoder output to that of the original image, enabling the use of a standard CNN for classification. Our nominal design is to train the decoder and classifier together in standard supervised fashion, but we also consider unsupervised decoder training based on a regression objective (as in a conventional autoencoder) with separate supervised training of the classifier. Unlike adversarial training, all training is based on clean images. Our experiments on the CIFAR-10 show performance competitive with state-of-the-art defenses based on adversarial training, and point to the promise of neuro-inspired techniques for the design of robust neural networks. In addition, we provide results for a subset of the Imagenet dataset to verify that our approach scales to larger images.