



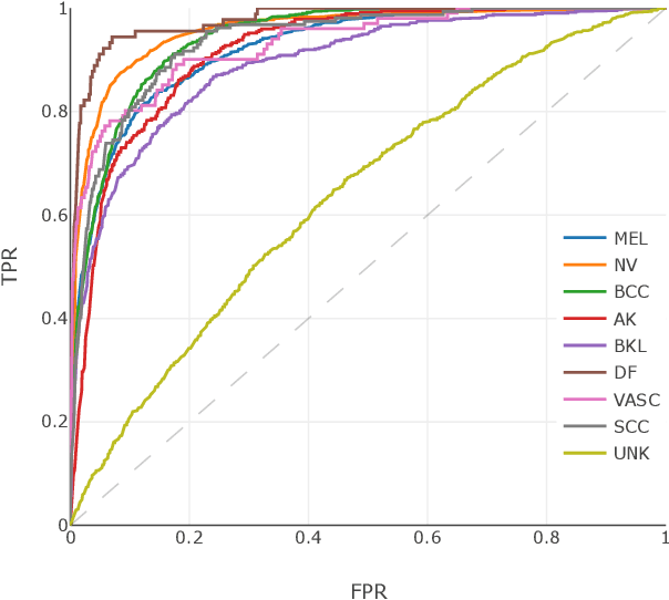
Abstract:Skin cancer is the most common cancer worldwide, with melanoma being the deadliest form. Dermoscopy is a skin imaging modality that has shown an improvement in the diagnosis of skin cancer compared to visual examination without support. We evaluate the current state of the art in the classification of dermoscopic images based on the ISIC-2019 Challenge for the classification of skin lesions and current literature. Various deep neural network architectures pre-trained on the ImageNet data set are adapted to a combined training data set comprised of publicly available dermoscopic and clinical images of skin lesions using transfer learning and model fine-tuning. The performance and applicability of these models for the detection of eight classes of skin lesions are examined. Real-time data augmentation, which uses random rotation, translation, shear, and zoom within specified bounds is used to increase the number of available training samples. Model predictions are multiplied by inverse class frequencies and normalized to better approximate actual probability distributions. Overall prediction accuracy is further increased by using the arithmetic mean of the predictions of several independently trained models. The best single model has been published as a web service.




Abstract:Robot Learning, from a control point of view, often involves continuous actions. In Reinforcement Learning, such actions are usually handled with actor-critic algorithms. They may build on Conservative Policy Iteration (e.g., Trust Region Policy Optimization, TRPO), on policy gradient (e.g., Reinforce), on entropy regularization (e.g., Soft Actor Critic, SAC), among others (e.g., Proximal Policy Optimization, PPO), but in all cases they can be seen as a form of soft policy iteration: they iterate policy evaluation followed by a soft policy improvement step. As so, they often are naturally on-policy. In this paper, we propose to combine (any kind of) soft greediness with Modified Policy Iteration (MPI). The proposed abstract framework applies repeatedly: (i) a partial policy evaluation step that allows off-policy learning and (ii) any soft greedy step. As a proof of concept, we instantiate this framework with the PPO soft greediness. Comparison to the original PPO shows that our algorithm is much more sample efficient. We also show that it is competitive with the state-of-art off-policy algorithm SAC.




Abstract:We propose a new approach to natural language understanding in which we consider the input text as an image and apply 2D Convolutional Neural Networks to learn the local and global semantics of the sentences from the variations ofthe visual patterns of words. Our approach demonstrates that it is possible to get semantically meaningful features from images with text without using optical character recognition and sequential processing pipelines, techniques that traditional Natural Language Understanding algorithms require. To validate our approach, we present results for two applications: text classification and dialog modeling. Using a 2D Convolutional Neural Network, we were able to outperform the state-of-art accuracy results of non-Latin alphabet-based text classification and achieved promising results for eight text classification datasets. Furthermore, our approach outperformed the memory networks when using out of vocabulary entities fromtask 4 of the bAbI dialog dataset.




Abstract:Human activity recognition using smart home sensors is one of the bases of ubiquitous computing in smart environments and a topic undergoing intense research in the field of ambient assisted living. The increasingly large amount of data sets calls for machine learning methods. In this paper, we introduce a deep learning model that learns to classify human activities without using any prior knowledge. For this purpose, a Long Short Term Memory (LSTM) Recurrent Neural Network was applied to three real world smart home datasets. The results of these experiments show that the proposed approach outperforms the existing ones in terms of accuracy and performance.




Abstract:In the era of Internet of Things (IoT) technologies the potential for privacy invasion is becoming a major concern especially in regards to healthcare data and Ambient Assisted Living (AAL) environments. Systems that offer AAL technologies make extensive use of personal data in order to provide services that are context-aware and personalized. This makes privacy preservation a very important issue especially since the users are not always aware of the privacy risks they could face. A lot of progress has been made in the deep learning field, however, there has been lack of research on privacy preservation of sensitive personal data with the use of deep learning. In this paper we focus on a Long Short Term Memory (LSTM) Encoder-Decoder, which is a principal component of deep learning, and propose a new encoding technique that allows the creation of different AAL data views, depending on the access level of the end user and the information they require access to. The efficiency and effectiveness of the proposed method are demonstrated with experiments on a simulated AAL dataset. Qualitatively, we show that the proposed model learns privacy operations such as disclosure, deletion and generalization and can perform encoding and decoding of the data with almost perfect recovery.