Abstract:As wireless communication applications evolve from traditional multipath environments to high-mobility scenarios like unmanned aerial vehicles, multiplexing techniques have advanced accordingly. Traditional single-carrier frequency-domain equalization (SC-FDE) and orthogonal frequency-division multiplexing (OFDM) have given way to emerging orthogonal time-frequency space (OTFS) and affine frequency-division multiplexing (AFDM). These approaches exploit specific channel structures to diagonalize or sparsify the effective channel, thereby enabling low-complexity detection. However, their reliance on these structures significantly limits their robustness in dynamic, real-world environments. To address these challenges, this paper studies a random multiplexing technique that is decoupled from the physical channels, enabling its application to arbitrary norm-bounded and spectrally convergent channel matrices. Random multiplexing achieves statistical fading-channel ergodicity for transmitted signals by constructing an equivalent input-isotropic channel matrix in the random transform domain. It guarantees the asymptotic replica MAP bit-error rate (BER) optimality of AMP-type detectors for linear systems with arbitrary norm-bounded, spectrally convergent channel matrices and signaling configurations, under the unique fixed point assumption. A low-complexity cross-domain memory AMP (CD-MAMP) detector is considered, leveraging the sparsity of the time-domain channel and the randomness of the equivalent channel. Optimal power allocations are derived to minimize the replica MAP BER and maximize the replica constrained capacity of random multiplexing systems. The optimal coding principle and replica constrained-capacity optimality of CD-MAMP detector are investigated for random multiplexing systems. Additionally, the versatility of random multiplexing in diverse wireless applications is explored.



Abstract:Approximate message passing (AMP) algorithms are iterative methods for signal recovery in noisy linear systems. In some scenarios, AMP algorithms need to operate within a distributed network. To address this challenge, the distributed extensions of AMP (D-AMP, FD-AMP) and orthogonal/vector AMP (D-OAMP/D-VAMP) were proposed, but they still inherit the limitations of centralized algorithms. In this letter, we propose distributed memory AMP (D-MAMP) to overcome the IID matrix limitation of D-AMP/FD-AMP, as well as the high complexity and heavy communication cost of D-OAMP/D-VAMP. We introduce a matrix-by-vector variant of MAMP tailored for distributed computing. Leveraging this variant, D-MAMP enables each node to execute computations utilizing locally available observation vectors and transform matrices. Meanwhile, global summations of locally updated results are conducted through message interaction among nodes. For acyclic graphs, D-MAMP converges to the same mean square error performance as the centralized MAMP.
Abstract:Efficient signal detectors are rather important yet challenging to achieve satisfactory performance for large-scale communication systems. This paper considers a non-orthogonal sparse code multiple access (SCMA) configuration for multiple-input multiple-output (MIMO) systems with recently proposed orthogonal time frequency space (OTFS) modulation. We develop a novel low-complexity yet effective customized Memory approximate message passing (AMP) algorithm for channel equalization and multi-user detection. Specifically, the proposed Memory AMP detector enjoys the sparsity of the channel matrix and only applies matrix-vector multiplications in each iteration for low-complexity. To alleviate the performance degradation caused by positive reinforcement problem in the iterative process, all the preceding messages are utilized to guarantee the orthogonality principle in Memory AMP detector. Simulation results are finally provided to illustrate the superiority of our Memory AMP detector over the existing solutions.
Abstract:Convergence is a crucial issue in iterative algorithms. Damping is commonly employed to ensure the convergence of iterative algorithms. The conventional ways of damping are scalar-wise, and either heuristic or empirical. Recently, an analytically optimized vector damping was proposed for memory message-passing (iterative) algorithms. As a result, it yields a special class of covariance matrices called L-banded matrices. In this letter, we show these matrices have a number of elegant properties arising from their L-banded structure. In particular, compact analytic expressions for the determinant, the inverse and the LDL decomposition of L-banded matrices are derived. In addition, necessary and sufficient conditions for such a matrix to be definite, as well as some other properties, are given.
Abstract:Approximate message passing (AMP) type algorithms have been widely used in the signal reconstruction of certain large random linear systems. A key feature of the AMP-type algorithms is that their dynamics can be correctly described by state evolution. However, state evolution does not necessarily guarantee the convergence of iterative algorithms. To solve the convergence problem of AMP-type algorithms in principle, this paper proposes a memory AMP (MAMP) under a sufficient statistic condition, named sufficient statistic MAMP (SS-MAMP). We show that the covariance matrices of SS-MAMP are L-banded and convergent. Given an arbitrary MAMP, we can construct the SS-MAMP by damping, which not only ensures the convergence, but also preserves the orthogonality, i.e., its dynamics can be correctly described by state evolution.




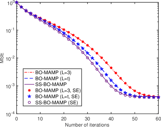
Abstract:Approximate message passing (AMP) is a promising technique for unknown signal reconstruction of certain high-dimensional linear systems with non-Gaussian signaling. A distinguished feature of the AMP-type algorithms is that their dynamics can be rigorously described by state evolution. However, state evolution does not necessarily guarantee the convergence of iterative algorithms. To solve the convergence problem of AMP-type algorithms in principle, this paper proposes a memory AMP (MAMP) under a sufficient statistic condition, named sufficient statistic MAMP (SS-MAMP). We show that the covariance matrices of SS-MAMP are L-banded and convergent. Given an arbitrary MAMP, we can construct an SS-MAMP by damping, which not only ensures the convergence of MAMP but also preserves the orthogonality of MAMP, i.e., its dynamics can be rigorously described by state evolution. As a byproduct, we prove that the Bayes-optimal orthogonal/vector AMP (BO-OAMP/VAMP) is an SS-MAMP. As a result, we reveal two interesting properties of BO-OAMP/VAMP for large systems: 1) the covariance matrices are L-banded and are convergent, and 2) damping and memory are useless (i.e., do not bring performance improvement). As an example, we construct a sufficient statistic Bayes-optimal MAMP (SS-BO-MAMP), which is Bayes optimal if its state evolution has a unique fixed point. In addition, the mean square error (MSE) of SS-BO-MAMP is not worse than the original BO-MAMP. Finally, simulations are provided to verify the validity and accuracy of the theoretical results.




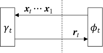
Abstract:Approximate message passing (AMP) is a low-cost iterative parameter-estimation technique for certain high-dimensional linear systems with non-Gaussian distributions. However, AMP only applies to independent identically distributed (IID) transform matrices, but may become unreliable for other matrix ensembles, especially for ill-conditioned ones. To handle this difficulty, orthogonal/vector AMP (OAMP/VAMP) was proposed for general right-unitarily-invariant matrices. However, the Bayes-optimal OAMP/VAMP requires high-complexity linear minimum mean square error estimator. To solve the disadvantages of AMP and OAMP/VAMP, this paper proposes a memory AMP (MAMP), in which a long-memory matched filter is proposed for interference suppression. The complexity of MAMP is comparable to AMP. The asymptotic Gaussianity of estimation errors in MAMP is guaranteed by the orthogonality principle. A state evolution is derived to asymptotically characterize the performance of MAMP. Based on the state evolution, the relaxation parameters and damping vector in MAMP are optimized. For all right-unitarily-invariant matrices, the optimized MAMP converges to OAMP/VAMP, and thus is Bayes-optimal if it has a unique fixed point. Finally, simulations are provided to verify the validity and accuracy of the theoretical results.