Abstract:We revisit DropEdge, a data augmentation technique for GNNs which randomly removes edges to expose diverse graph structures during training. While being a promising approach to effectively reduce overfitting on specific connections in the graph, we observe that its potential performance gain in supervised learning tasks is significantly limited. To understand why, we provide a theoretical analysis showing that the limited performance of DropEdge comes from the fundamental limitation that exists in many GNN architectures. Based on this analysis, we propose Aggregation Buffer, a parameter block specifically designed to improve the robustness of GNNs by addressing the limitation of DropEdge. Our method is compatible with any GNN model, and shows consistent performance improvements on multiple datasets. Moreover, our method effectively addresses well-known problems such as degree bias or structural disparity as a unifying solution. Code and datasets are available at https://github.com/dooho00/agg-buffer.




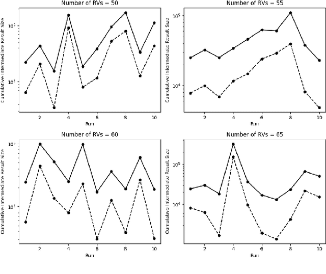
Abstract:Efficient probabilistic inference by variable elimination in graphical models requires an optimal elimination order. However, finding an optimal order is a challenging combinatorial optimisation problem for models with a large number of random variables. Most recently, a reinforcement learning approach has been proposed to find efficient contraction orders in tensor networks. Due to the duality between graphical models and tensor networks, we adapt this approach to probabilistic inference in graphical models. Furthermore, we incorporate structure exploitation into the process of finding an optimal order. Currently, the agent's cost function is formulated in terms of intermediate result sizes which are exponential in the number of indices (i.e., random variables). We show that leveraging specific structures during inference allows for introducing compact encodings of intermediate results which can be significantly smaller. By considering the compact encoding sizes for the cost function instead, we enable the agent to explore more efficient contraction orders. The structure we consider in this work is the presence of local symmetries (i.e., symmetries within a model's factors).