



Abstract:Large Language Models (LLMs) suffer from a range of vulnerabilities that allow malicious users to solicit undesirable responses through manipulation of the input text. These so-called jailbreak prompts are designed to trick the LLM into circumventing the safety guardrails put in place to keep responses acceptable to the developer's policies. In this study, we analyse the ability of different machine learning models to distinguish jailbreak prompts from genuine uses, including looking at our ability to identify jailbreaks that use previously unseen strategies. Our results indicate that using current datasets the best performance is achieved by fine tuning a Bidirectional Encoder Representations from Transformers (BERT) model end-to-end for identifying jailbreaks. We visualise the keywords that distinguish jailbreak from genuine prompts and conclude that explicit reflexivity in prompt structure could be a signal of jailbreak intention.
Abstract:Impact craters are among the most prominent geomorphological features on planetary surfaces and are of substantial significance in planetary science research. Their spatial distribution and morphological characteristics provide critical information on planetary surface composition, geological history, and impact processes. In recent years, the rapid advancement of deep learning models has fostered significant interest in automated crater detection. In this paper, we apply advancements in deep learning models for impact crater detection and identification. We use novel models, including Convolutional Neural Networks (CNNs) and variants such as YOLO and ResNet. We present a framework that features a two-stage approach where the first stage features crater identification using simple classic CNN, ResNet-50 and YOLO. In the second stage, our framework employs YOLO-based detection for crater localisation. Therefore, we detect and identify different types of craters and present a summary report with remote sensing data for a selected region. We consider selected regions for craters and identification from Mars and the Moon based on remote sensing data. Our results indicate that YOLO demonstrates the most balanced crater detection performance, while ResNet-50 excels in identifying large craters with high precision.
Abstract:Cyclone rapid intensification is the rapid increase in cyclone wind intensity, exceeding a threshold of 30 knots, within 24 hours. Rapid intensification is considered an extreme event during a cyclone, and its occurrence is relatively rare, contributing to a class imbalance in the dataset. A diverse array of factors influences the likelihood of a cyclone undergoing rapid intensification, further complicating the task for conventional machine learning models. In this paper, we evaluate deep learning, ensemble learning and data augmentation frameworks to detect cyclone rapid intensification based on wind intensity and spatial coordinates. We note that conventional data augmentation methods cannot be utilised for generating spatiotemporal patterns replicating cyclones that undergo rapid intensification. Therefore, our framework employs deep learning models to generate spatial coordinates and wind intensity that replicate cyclones to address the class imbalance problem of rapid intensification. We also use a deep learning model for the classification module within the data augmentation framework to differentiate between rapid and non-rapid intensification events during a cyclone. Our results show that data augmentation improves the results for rapid intensification detection in cyclones, and spatial coordinates play a critical role as input features to the given models. This paves the way for research in synthetic data generation for spatiotemporal data with extreme events.
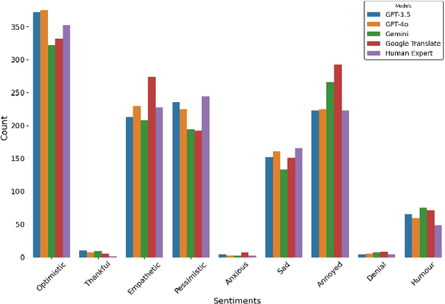
Abstract:Large Language models (LLMs) have been prominent for language translation, including low-resource languages. There has been limited study about the assessment of the quality of translations generated by LLMs, including Gemini, GPT and Google Translate. In this study, we address this limitation by using semantic and sentiment analysis of selected LLMs for Indian languages, including Sanskrit, Telugu and Hindi. We select prominent texts that have been well translated by experts and use LLMs to generate their translations to English, and then we provide a comparison with selected expert (human) translations. Our findings suggest that while LLMs have made significant progress in translation accuracy, challenges remain in preserving sentiment and semantic integrity, especially in figurative and philosophical contexts. The sentiment analysis revealed that GPT-4o and GPT-3.5 are better at preserving the sentiments for the Bhagavad Gita (Sanskrit-English) translations when compared to Google Translate. We observed a similar trend for the case of Tamas (Hindi-English) and Maha P (Telugu-English) translations. GPT-4o performs similarly to GPT-3.5 in the translation in terms of sentiments for the three languages. We found that LLMs are generally better at translation for capturing sentiments when compared to Google Translate.




Abstract:Recommender systems leveraging deep learning models have been crucial for assisting users in selecting items aligned with their preferences and interests. However, a significant challenge persists in single-criteria recommender systems, which often overlook the diverse attributes of items that have been addressed by Multi-Criteria Recommender Systems (MCRS). Shared embedding vector for multi-criteria item ratings but have struggled to capture the nuanced relationships between users and items based on specific criteria. In this study, we present a novel representation for Multi-Criteria Recommender Systems (MCRS) based on a multi-edge bipartite graph, where each edge represents one criterion rating of items by users, and Multiview Dual Graph Attention Networks (MDGAT). Employing MDGAT is beneficial and important for adequately considering all relations between users and items, given the presence of both local (criterion-based) and global (multi-criteria) relations. Additionally, we define anchor points in each view based on similarity and employ local and global contrastive learning to distinguish between positive and negative samples across each view and the entire graph. We evaluate our method on two real-world datasets and assess its performance based on item rating predictions. The results demonstrate that our method achieves higher accuracy compared to the baseline method for predicting item ratings on the same datasets. MDGAT effectively capture the local and global impact of neighbours and the similarity between nodes.
Abstract:Traditional geological mapping, based on field observations and rock sample analysis, is inefficient for continuous spatial mapping of features like alteration zones. Deep learning models, such as convolutional neural networks (CNNs), have revolutionised remote sensing data analysis by automatically extracting features for classification and regression tasks. CNNs can detect specific mineralogical changes linked to mineralisation by identifying subtle features in remote sensing data. This study uses CNNs with Landsat 8, Landsat 9, and ASTER data to map alteration zones north of Broken Hill, New South Wales, Australia. The model is trained using ground truth data and an automated approach with selective principal component analysis (PCA). We compare CNNs with traditional machine learning models, including k-nearest neighbours, support vector machines, and multilayer perceptron. Results show that ground truth-based training yields more reliable maps, with CNNs slightly outperforming conventional models in capturing spatial patterns. Landsat 9 outperforms Landsat 8 in mapping iron oxide areas using ground truth-trained CNNs, while ASTER data provides the most accurate argillic and propylitic alteration maps. This highlights CNNs' effectiveness in improving geological mapping precision, especially for identifying subtle mineralisation-related alterations.




Abstract:The drastic changes in the global economy, geopolitical conditions, and disruptions such as the COVID-19 pandemic have impacted the cost of living and quality of life. It is important to understand the long-term nature of the cost of living and quality of life in major economies. A transparent and comprehensive living index must include multiple dimensions of living conditions. In this study, we present an approach to quantifying the quality of life through the Global Ease of Living Index that combines various socio-economic and infrastructural factors into a single composite score. Our index utilises economic indicators that define living standards, which could help in targeted interventions to improve specific areas. We present a machine learning framework for addressing the problem of missing data for some of the economic indicators for specific countries. We then curate and update the data and use a dimensionality reduction approach (principal component analysis) to create the Ease of Living Index for major economies since 1970. Our work significantly adds to the literature by offering a practical tool for policymakers to identify areas needing improvement, such as healthcare systems, employment opportunities, and public safety. Our approach with open data and code can be easily reproduced and applied to various contexts. This transparency and accessibility make our work a valuable resource for ongoing research and policy development in quality-of-life assessment.




Abstract:Bluebottles (\textit{Physalia} spp.) are marine stingers resembling jellyfish, whose presence on Australian beaches poses a significant public risk due to their venomous nature. Understanding the environmental factors driving bluebottles ashore is crucial for mitigating their impact, and machine learning tools are to date relatively unexplored. We use bluebottle marine stinger presence/absence data from beaches in Eastern Sydney, Australia, and compare machine learning models (Multilayer Perceptron, Random Forest, and XGBoost) to identify factors influencing their presence. We address challenges such as class imbalance, class overlap, and unreliable absence data by employing data augmentation techniques, including the Synthetic Minority Oversampling Technique (SMOTE), Random Undersampling, and Synthetic Negative Approach that excludes the negative class. Our results show that SMOTE failed to resolve class overlap, but the presence-focused approach effectively handled imbalance, class overlap, and ambiguous absence data. The data attributes such as the wind direction, which is a circular variable, emerged as a key factor influencing bluebottle presence, confirming previous inference studies. However, in the absence of population dynamics, biological behaviours, and life cycles, the best predictive model appears to be Random Forests combined with Synthetic Negative Approach. This research contributes to mitigating the risks posed by bluebottles to beachgoers and provides insights into handling class overlap and unreliable negative class in environmental modelling.
Abstract:Bayesian Neural Networks (BNNs) offer robust uncertainty quantification in model predictions, but training them presents a significant computational challenge. This is mainly due to the problem of sampling multimodal posterior distributions using Markov Chain Monte Carlo (MCMC) sampling and variational inference algorithms. Moreover, the number of model parameters scales exponentially with additional hidden layers, neurons, and features in the dataset. Typically, a significant portion of these densely connected parameters are redundant and pruning a neural network not only improves portability but also has the potential for better generalisation capabilities. In this study, we address some of the challenges by leveraging MCMC sampling with network pruning to obtain compact probabilistic models having removed redundant parameters. We sample the posterior distribution of model parameters (weights and biases) and prune weights with low importance, resulting in a compact model. We ensure that the compact BNN retains its ability to estimate uncertainty via the posterior distribution while retaining the model training and generalisation performance accuracy by adapting post-pruning resampling. We evaluate the effectiveness of our MCMC pruning strategy on selected benchmark datasets for regression and classification problems through empirical result analysis. We also consider two coral reef drill-core lithology classification datasets to test the robustness of the pruning model in complex real-world datasets. We further investigate if refining compact BNN can retain any loss of performance. Our results demonstrate the feasibility of training and pruning BNNs using MCMC whilst retaining generalisation performance with over 75% reduction in network size. This paves the way for developing compact BNN models that provide uncertainty estimates for real-world applications.




Abstract:During the COVID-19 pandemic, community tensions intensified, fuelling Hinduphobic sentiments and discrimination against individuals of Hindu descent within India and worldwide. Large language models (LLMs) have become prominent in natural language processing (NLP) tasks and social media analysis, enabling longitudinal studies of platforms like X (formerly Twitter) for specific issues during COVID-19. We present an abuse detection and sentiment analysis framework that offers a longitudinal analysis of Hinduphobia on X (Twitter) during and after the COVID-19 pandemic. This framework assesses the prevalence and intensity of Hinduphobic discourse, capturing elements such as derogatory jokes and racist remarks through sentiment analysis and abuse detection from pre-trained and fine-tuned LLMs. Additionally, we curate and publish a "Hinduphobic COVID-19 X (Twitter) Dataset" of 8,000 tweets annotated for Hinduphobic abuse detection, which is used to fine-tune a BERT model, resulting in the development of the Hinduphobic BERT (HP-BERT) model. We then further fine-tune HP-BERT using the SenWave dataset for multi-label sentiment analysis. Our study encompasses approximately 27.4 million tweets from six countries, including Australia, Brazil, India, Indonesia, Japan, and the United Kingdom. Our findings reveal a strong correlation between spikes in COVID-19 cases and surges in Hinduphobic rhetoric, highlighting how political narratives, misinformation, and targeted jokes contributed to communal polarisation. These insights provide valuable guidance for developing strategies to mitigate communal tensions in future crises, both locally and globally. We advocate implementing automated monitoring and removal of such content on social media to curb divisive discourse.