



Abstract:Evaluation of potential AGI systems and methods is difficult due to the breadth of the engineering goal. We have no methods for perfect evaluation of the end state, and instead measure performance on small tests designed to provide directional indication that we are approaching AGI. In this work we argue that AGI evaluation methods have been dominated by a design philosophy that uses our intuitions of what intelligence is to create synthetic tasks, that have performed poorly in the history of AI. Instead we argue for an alternative design philosophy focused on evaluating robust task execution that seeks to demonstrate AGI through competence. This perspective is developed from common practices in data science that are used to show that a system can be reliably deployed. We provide practical examples of what this would mean for AGI evaluation.




Abstract:Large Language Models (LLMs) suffer from a range of vulnerabilities that allow malicious users to solicit undesirable responses through manipulation of the input text. These so-called jailbreak prompts are designed to trick the LLM into circumventing the safety guardrails put in place to keep responses acceptable to the developer's policies. In this study, we analyse the ability of different machine learning models to distinguish jailbreak prompts from genuine uses, including looking at our ability to identify jailbreaks that use previously unseen strategies. Our results indicate that using current datasets the best performance is achieved by fine tuning a Bidirectional Encoder Representations from Transformers (BERT) model end-to-end for identifying jailbreaks. We visualise the keywords that distinguish jailbreak from genuine prompts and conclude that explicit reflexivity in prompt structure could be a signal of jailbreak intention.




Abstract:Transformer-decoder language models are a core innovation in text based generative artificial intelligence. These models are being deployed as general-purpose intelligence systems in many applications. Central to their utility is the capacity to understand natural language commands and exploit the reasoning embedded in human text corpora to apply some form of reasoning process to a wide variety of novel tasks. To understand the limitations of this approach to generating reasoning we argue that we need to consider the architectural constraints of these systems. Consideration of the latent variable structure of transformer-decoder models allows us to design reasoning tasks that should probe the boundary of their capacity to reason. We present enigme, an open-source library for generating text-based puzzles to be used in training and evaluating reasoning skills within transformer-decoder models and future AI architectures.




Abstract:Identifying critical research within the growing body of academic work is an essential element of quality research. Systematic review processes, used in evidence-based medicine, formalise this as a procedure that must be followed in a research program. However, it comes with an increasing burden in terms of the time required to identify the important articles of research for a given topic. In this work, we develop a method for building a general-purpose filtering system that matches a research question, posed as a natural language description of the required content, against a candidate set of articles obtained via the application of broad search terms. Our results demonstrate that transformer models, pre-trained on biomedical literature then fine tuned for the specific task, offer a promising solution to this problem. The model can remove large volumes of irrelevant articles for most research questions.




Abstract:Online commerce relies heavily on user generated reviews to provide unbiased information about products that they have not physically seen. The importance of reviews has attracted multiple exploitative online behaviours and requires methods for monitoring and detecting reviews. We present a machine learning methodology for review detection and extraction, and demonstrate that it generalises for use across websites that were not contained in the training data. This method promises to drive applications for automatic detection and evaluation of reviews, regardless of their source. Furthermore, we showcase the versatility of our method by implementing and discussing three key applications for analysing reviews: Sentiment Inconsistency Analysis, which detects and filters out unreliable reviews based on inconsistencies between ratings and comments; Multi-language support, enabling the extraction and translation of reviews from various languages without relying on HTML scraping; and Fake review detection, achieved by integrating a trained NLP model to identify and distinguish between genuine and fake reviews.




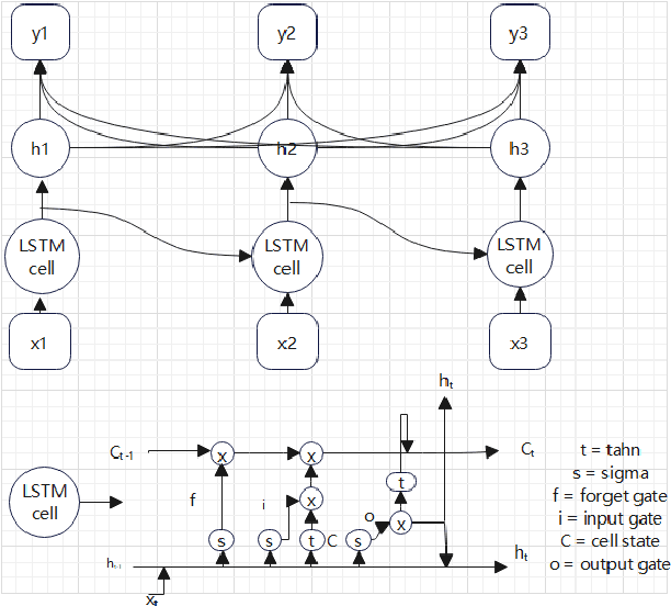
Abstract:Gross domestic product (GDP) is the most widely used indicator in macroeconomics and the main tool for measuring a country's economic ouput. Due to the diversity and complexity of the world economy, a wide range of models have been used, but there are challenges in making decadal GDP forecasts given unexpected changes such as pandemics and wars. Deep learning models are well suited for modeling temporal sequences have been applied for time series forecasting. In this paper, we develop a deep learning framework to forecast the GDP growth rate of the world economy over a decade. We use Penn World Table as the source of our data, taking data from 1980 to 2019, across 13 countries, such as Australia, China, India, the United States and so on. We test multiple deep learning models, LSTM, BD-LSTM, ED-LSTM and CNN, and compared their results with the traditional time series model (ARIMA,VAR). Our results indicate that ED-LSTM is the best performing model. We present a recursive deep learning framework to predict the GDP growth rate in the next ten years. We predict that most countries will experience economic growth slowdown, stagnation or even recession within five years; only China, France and India are predicted to experience stable, or increasing, GDP growth.




Abstract:Prioritization of machine learning projects requires estimates of both the potential ROI of the business case and the technical difficulty of building a model with the required characteristics. In this work we present a technique for estimating the minimum required performance characteristics of a predictive model given a set of information about how it will be used. This technique will result in robust, objective comparisons between potential projects. The resulting estimates will allow data scientists and managers to evaluate whether a proposed machine learning project is likely to succeed before any modelling needs to be done. The technique has been implemented into the open source application MinViME (Minimum Viable Model Estimator) which can be installed via the PyPI python package management system, or downloaded directly from the GitHub repository. Available at https://github.com/john-hawkins/MinViME