Abstract:This paper introduces an integrated system designed to enhance the explainability of fault diagnostics in complex systems, such as nuclear power plants, where operator understanding is critical for informed decision-making. By combining a physics-based diagnostic tool with a Large Language Model, we offer a novel solution that not only identifies faults but also provides clear, understandable explanations of their causes and implications. The system's efficacy is demonstrated through application to a molten salt facility, showcasing its ability to elucidate the connections between diagnosed faults and sensor data, answer operator queries, and evaluate historical sensor anomalies. Our approach underscores the importance of merging model-based diagnostics with advanced AI to improve the reliability and transparency of autonomous systems.
Abstract:Traditional control theory-based methods require tailored engineering for each system and constant fine-tuning. In power plant control, one often needs to obtain a precise representation of the system dynamics and carefully design the control scheme accordingly. Model-free Reinforcement learning (RL) has emerged as a promising solution for control tasks due to its ability to learn from trial-and-error interactions with the environment. It eliminates the need for explicitly modeling the environment's dynamics, which is potentially inaccurate. However, the direct imposition of state constraints in power plant control raises challenges for standard RL methods. To address this, we propose a chance-constrained RL algorithm based on Proximal Policy Optimization for supervisory control. Our method employs Lagrangian relaxation to convert the constrained optimization problem into an unconstrained objective, where trainable Lagrange multipliers enforce the state constraints. Our approach achieves the smallest distance of violation and violation rate in a load-follow maneuver for an advanced Nuclear Power Plant design.




Abstract:This work introduces Physics-informed State-space neural network Models (PSMs), a novel solution to achieving real-time optimization, flexibility, and fault tolerance in autonomous systems, particularly in transport-dominated systems such as chemical, biomedical, and power plants. Traditional data-driven methods fall short due to a lack of physical constraints like mass conservation; PSMs address this issue by training deep neural networks with sensor data and physics-informing using components' Partial Differential Equations (PDEs), resulting in a physics-constrained, end-to-end differentiable forward dynamics model. Through two in silico experiments - a heated channel and a cooling system loop - we demonstrate that PSMs offer a more accurate approach than purely data-driven models. Beyond accuracy, there are several compelling use cases for PSMs. In this work, we showcase two: the creation of a nonlinear supervisory controller through a sequentially updated state-space representation and the proposal of a diagnostic algorithm using residuals from each of the PDEs. The former demonstrates the ability of PSMs to handle both constant and time-dependent constraints, while the latter illustrates their value in system diagnostics and fault detection. We further posit that PSMs could serve as a foundation for Digital Twins, constantly updated digital representations of physical systems.




Abstract:Advanced reactors deployed in the coming decades will face deregulated energy markets, and may adopt flexible operation to boost profitability. To aid in the transition from baseload to flexible operation paradigm, autonomous operation is sought. This work focuses on the control aspect of autonomous operation. Specifically, a hierarchical control system is designed to support constraint enforcement during routine operational transients. Within the system, data-driven modeling, physics-based state observation, and classical control algorithms are integrated to provide an adaptable and robust solution. A 320 MW Fluoride-cooled High-temperature Pebble-bed Reactor is the design basis for demonstrating the control system. The hierarchical control system consists of a supervisory layer and low-level layer. The supervisory layer receives requests to change the system's operating conditions, and accepts or rejects them based on constraints that have been assigned. Constraints are issued to keep the plant within an optimal operating region. The low-level layer interfaces with the actuators of the system to fulfill requested changes, while maintaining tracking and regulation duties. To accept requests at the supervisory layer, the Reference Governor algorithm was adopted. To model the dynamics of the reactor, a system identification algorithm, Dynamic Mode Decomposition, was utilized. To estimate the evolution of process variables that cannot be directly measured, the Unscented Kalman Filter was adopted, incorporating a nonlinear model of nuclear dynamics. The composition of these algorithms led to a numerical demonstration of constraint enforcement during a 40 % power drop transient. Adaptability of the proposed system was demonstrated by modifying the constraint values, and enforcing them during the transient. Robustness was also demonstrated by enforcing constraints under noisy environments.




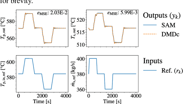
Abstract:To advance the paradigm of autonomous operation for nuclear power plants, a data-driven machine learning approach to control is sought. Autonomous operation for next-generation reactor designs is anticipated to bolster safety and improve economics. However, any algorithms that are utilized need to be interpretable, adaptable, and robust. In this work, we focus on the specific problem of optimal control during autonomous operation. We will demonstrate an interpretable and adaptable data-driven machine learning approach to autonomous control of a molten salt loop. To address interpretability, we utilize a data-driven algorithm to identify system dynamics in state-space representation. To address adaptability, a control algorithm will be utilized to modify actuator setpoints while enforcing constant, and time-dependent constraints. Robustness is not addressed in this work, and is part of future work. To demonstrate the approach, we designed a numerical experiment requiring intervention to enforce constraints during a load-follow type transient.