



Abstract:We introduce AlphaD3M, an automatic machine learning (AutoML) system based on meta reinforcement learning using sequence models with self play. AlphaD3M is based on edit operations performed over machine learning pipeline primitives providing explainability. We compare AlphaD3M with state-of-the-art AutoML systems: Autosklearn, Autostacker, and TPOT, on OpenML datasets. AlphaD3M achieves competitive performance while being an order of magnitude faster, reducing computation time from hours to minutes, and is explainable by design.




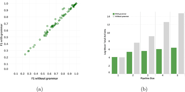
Abstract:Automatic machine learning is an important problem in the forefront of machine learning. The strongest AutoML systems are based on neural networks, evolutionary algorithms, and Bayesian optimization. Recently AlphaD3M reached state-of-the-art results with an order of magnitude speedup using reinforcement learning with self-play. In this work we extend AlphaD3M by using a pipeline grammar and a pre-trained model which generalizes from many different datasets and similar tasks. Our results demonstrate improved performance compared with our earlier work and existing methods on AutoML benchmark datasets for classification and regression tasks. In the spirit of reproducible research we make our data, models, and code publicly available.