Abstract:Recent advances in zero-shot learning have enabled the use of paired image-text data to replace structured labels, replacing the need for expert annotated datasets. Models such as CLIP-based CheXzero utilize these advancements in the domain of chest X-ray interpretation. We hypothesize that domain pre-trained models such as CXR-BERT, BlueBERT, and ClinicalBERT offer the potential to improve the performance of CLIP-like models with specific domain knowledge by replacing BERT weights at the cost of breaking the original model's alignment. We evaluate the performance of zero-shot classification models with domain-specific pre-training for detecting low-prevalence pathologies. Even though replacing the weights of the original CLIP-BERT degrades model performance on commonly found pathologies, we show that pre-trained text towers perform exceptionally better on low-prevalence diseases. This motivates future ensemble models with a combination of differently trained language models for maximal performance.




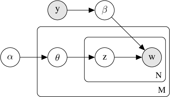
Abstract:Topic models are some of the most popular ways to represent textual data in an interpret-able manner. Recently, advances in deep generative models, specifically auto-encoding variational Bayes (AEVB), have led to the introduction of unsupervised neural topic models, which leverage deep generative models as opposed to traditional statistics-based topic models. We extend upon these neural topic models by introducing the Label-Indexed Neural Topic Model (LI-NTM), which is, to the extent of our knowledge, the first effective upstream semi-supervised neural topic model. We find that LI-NTM outperforms existing neural topic models in document reconstruction benchmarks, with the most notable results in low labeled data regimes and for data-sets with informative labels; furthermore, our jointly learned classifier outperforms baseline classifiers in ablation studies.