Vassar College
Abstract:Responsibility has long been a subject of study in law and philosophy. More recently, it became a focus of AI literature. The article investigates the computational complexity of two important properties of responsibility in collective decision-making: diffusion and gap. It shows that the sets of diffusion-free and gap-free decision-making mechanisms are $\Pi_2$-complete and $\Pi_3$-complete, respectively. At the same time, the intersection of these classes is $\Pi_2$-complete.

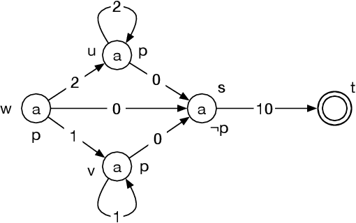
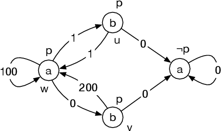
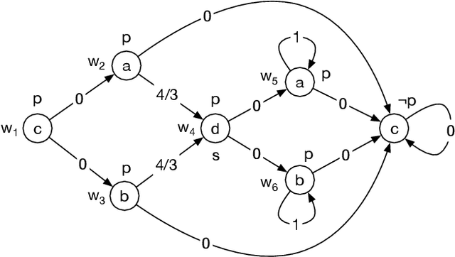
Abstract:The term "diffusion of responsibility'' refers to situations in which multiple agents share responsibility for an outcome, obscuring individual accountability. This paper examines this frequently undesirable phenomenon in the context of collective decision-making mechanisms. The work shows that if a decision is made by two agents, then the only way to avoid diffusion of responsibility is for one agent to act as a "dictator'', making the decision unilaterally. In scenarios with more than two agents, any diffusion-free mechanism is an "elected dictatorship'' where the agents elect a single agent to make a unilateral decision. The technical results are obtained by defining a bisimulation of decision-making mechanisms, proving that bisimulation preserves responsibility-related properties, and establishing the results for a smallest bisimular mechanism.

Abstract:The responsibility gap is a set of outcomes of a collective decision-making mechanism in which no single agent is individually responsible. In general, when designing a decision-making process, it is desirable to minimise the gap. The paper proposes a concept of an elected dictatorship. It shows that, in a perfect information setting, the gap is empty if and only if the mechanism is an elected dictatorship. It also proves that in an imperfect information setting, the class of gap-free mechanisms is positioned strictly between two variations of the class of elected dictatorships.




Abstract:Common knowledge/belief in rationality is the traditional standard assumption in analysing interaction among agents. This paper proposes a graph-based language for capturing significantly more complicated structures of higher-order beliefs that agents might have about the rationality of the other agents. The two main contributions are a solution concept that captures the reasoning process based on a given belief structure and an efficient algorithm for compressing any belief structure into a unique minimal form.

Abstract:In many real-world situations, there is often not enough information to know that a certain strategy will succeed in achieving the goal, but there is a good reason to believe that it will. The paper introduces the term ``doxastic'' for such strategies. The main technical contribution is a sound and complete logical system that describes the interplay between doxastic strategy and belief modalities.





Abstract:Prior proposes the term "egocentric" for logical systems that study properties of agents rather than properties of possible worlds. In such a setting, the paper introduces two different modalities capturing de re and de dicto knowledge and proves that these two modalities are not definable through each other.

Abstract:An operation is called covert if it conceals the identity of the actor; it is called clandestine if the very fact that the operation is conducted is concealed. The paper proposes a formal semantics of clandestine operations and introduces a sound and complete logical system that describes the interplay between the distributed knowledge modality and a modality capturing coalition power to conduct clandestine operations.


Abstract:The Agents, Interaction and Complexity research group at the University of Southampton has a long track record of research in multiagent systems (MAS). We have made substantial scientific contributions across learning in MAS, game-theoretic techniques for coordinating agent systems, and formal methods for representation and reasoning. We highlight key results achieved by the group and elaborate on recent work and open research challenges in developing trustworthy autonomous systems and deploying human-centred AI systems that aim to support societal good.





Abstract:The paper studies the interplay between modalities representing four different types of multistep strategies in the imperfect information setting. It introduces a new "truth set algebra'' technique for proving undefinability, which is significantly different from the existing techniques based on bisimulation. The newly proposed technique is used to prove the undefinability of each of the four modalities through a combination of the three others.




Abstract:Discounting future costs and rewards is a common practice in accounting, game theory, and machine learning. In spite of this, existing logics for reasoning about strategies with cost and resource constraints do not account for discounting. The paper proposes a sound and complete logical system for reasoning about budget-constrained strategic abilities that incorporates discounting into its semantics.
