Lafayette College
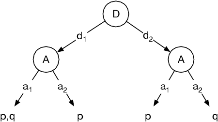
Abstract:The term "diffusion of responsibility'' refers to situations in which multiple agents share responsibility for an outcome, obscuring individual accountability. This paper examines this frequently undesirable phenomenon in the context of collective decision-making mechanisms. The work shows that if a decision is made by two agents, then the only way to avoid diffusion of responsibility is for one agent to act as a "dictator'', making the decision unilaterally. In scenarios with more than two agents, any diffusion-free mechanism is an "elected dictatorship'' where the agents elect a single agent to make a unilateral decision. The technical results are obtained by defining a bisimulation of decision-making mechanisms, proving that bisimulation preserves responsibility-related properties, and establishing the results for a smallest bisimular mechanism.
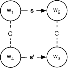
Abstract:The responsibility gap is a set of outcomes of a collective decision-making mechanism in which no single agent is individually responsible. In general, when designing a decision-making process, it is desirable to minimise the gap. The paper proposes a concept of an elected dictatorship. It shows that, in a perfect information setting, the gap is empty if and only if the mechanism is an elected dictatorship. It also proves that in an imperfect information setting, the class of gap-free mechanisms is positioned strictly between two variations of the class of elected dictatorships.




Abstract:Foundational models have emerged as powerful tools for addressing various tasks in clinical settings. However, their potential development to breast ultrasound analysis remains untapped. In this paper, we present BUSGen, the first foundational generative model specifically designed for breast ultrasound image analysis. Pretrained on over 3.5 million breast ultrasound images, BUSGen has acquired extensive knowledge of breast structures, pathological features, and clinical variations. With few-shot adaptation, BUSGen can generate repositories of realistic and informative task-specific data, facilitating the development of models for a wide range of downstream tasks. Extensive experiments highlight BUSGen's exceptional adaptability, significantly exceeding real-data-trained foundational models in breast cancer screening, diagnosis, and prognosis. In breast cancer early diagnosis, our approach outperformed all board-certified radiologists (n=9), achieving an average sensitivity improvement of 16.5% (P-value<0.0001). Additionally, we characterized the scaling effect of using generated data which was as effective as the collected real-world data for training diagnostic models. Moreover, extensive experiments demonstrated that our approach improved the generalization ability of downstream models. Importantly, BUSGen protected patient privacy by enabling fully de-identified data sharing, making progress forward in secure medical data utilization. An online demo of BUSGen is available at https://aibus.bio.




Abstract:Data-driven deep learning models have shown great capabilities to assist radiologists in breast ultrasound (US) diagnoses. However, their effectiveness is limited by the long-tail distribution of training data, which leads to inaccuracies in rare cases. In this study, we address a long-standing challenge of improving the diagnostic model performance on rare cases using long-tailed data. Specifically, we introduce a pipeline, TAILOR, that builds a knowledge-driven generative model to produce tailored synthetic data. The generative model, using 3,749 lesions as source data, can generate millions of breast-US images, especially for error-prone rare cases. The generated data can be further used to build a diagnostic model for accurate and interpretable diagnoses. In the prospective external evaluation, our diagnostic model outperforms the average performance of nine radiologists by 33.5% in specificity with the same sensitivity, improving their performance by providing predictions with an interpretable decision-making process. Moreover, on ductal carcinoma in situ (DCIS), our diagnostic model outperforms all radiologists by a large margin, with only 34 DCIS lesions in the source data. We believe that TAILOR can potentially be extended to various diseases and imaging modalities.




Abstract:Many decision-making scenarios, e.g., public policy, healthcare, business, and disaster response, require accommodating the preferences of multiple stakeholders. We offer the first formal treatment of reasoning with multi-stakeholder qualitative preferences in a setting where stakeholders express their preferences in a qualitative preference language, e.g., CP-net, CI-net, TCP-net, CP-Theory. We introduce a query language for expressing queries against such preferences over sets of outcomes that satisfy specified criteria, e.g., $\mlangpref{\psi_1}{\psi_2}{A}$ (read loosely as the set of outcomes satisfying $\psi_1$ that are preferred over outcomes satisfying $\psi_2$ by a set of stakeholders $A$). Motivated by practical application scenarios, we introduce and analyze several alternative semantics for such queries, and examine their interrelationships. We provide a provably correct algorithm for answering multi-stakeholder qualitative preference queries using model checking in alternation-free $\mu$-calculus. We present experimental results that demonstrate the feasibility of our approach.




Abstract:Security games are an example of a successful real-world application of game theory. The paper defines blameworthiness of the defender and the attacker in security games using the principle of alternative possibilities and provides a sound and complete logical system for reasoning about blameworthiness in such games. Two of the axioms of this system capture the asymmetry of information in security games.



Abstract:The paper investigates the second-order blameworthiness or duty to warn modality "one coalition knew how another coalition could have prevented an outcome". The main technical result is a sound and complete logical system that describes the interplay between the distributed knowledge and the duty to warn modalities.


Abstract:Blameworthiness of an agent or a coalition of agents is often defined in terms of the principle of alternative possibilities: for the coalition to be responsible for an outcome, the outcome must take place and the coalition should have had a strategy to prevent it. In this paper we argue that in the settings with imperfect information, not only should the coalition have had a strategy, but it also should have known that it had a strategy, and it should have known what the strategy was. The main technical result of the paper is a sound and complete bimodal logic that describes the interplay between knowledge and blameworthiness in strategic games with imperfect information.
Abstract:There are multiple notions of coalitional responsibility. The focus of this paper is on the blameworthiness defined through the principle of alternative possibilities: a coalition is blamable for a statement if the statement is true, but the coalition had a strategy to prevent it. The main technical result is a sound and complete bimodal logical system that describes properties of blameworthiness in one-shot games.




Abstract:The paper proposes a bimodal logic that describes an interplay between distributed knowledge modality and coalition know-how modality. Unlike other similar systems, the one proposed here assumes perfect recall by all agents. Perfect recall is captured in the system by a single axiom. The main technical results are the soundness and the completeness theorems for the proposed logical system.