Shitz
Abstract:When used in complex engineered systems, such as communication networks, artificial intelligence (AI) models should be not only as accurate as possible, but also well calibrated. A well-calibrated AI model is one that can reliably quantify the uncertainty of its decisions, assigning high confidence levels to decisions that are likely to be correct and low confidence levels to decisions that are likely to be erroneous. This paper investigates the application of conformal prediction as a general framework to obtain AI models that produce decisions with formal calibration guarantees. Conformal prediction transforms probabilistic predictors into set predictors that are guaranteed to contain the correct answer with a probability chosen by the designer. Such formal calibration guarantees hold irrespective of the true, unknown, distribution underlying the generation of the variables of interest, and can be defined in terms of ensemble or time-averaged probabilities. In this paper, conformal prediction is applied for the first time to the design of AI for communication systems in conjunction to both frequentist and Bayesian learning, focusing on demodulation, modulation classification, and channel prediction.




Abstract:Simulating quantum channels is a fundamental primitive in quantum computing, since quantum channels define general (trace-preserving) quantum operations. An arbitrary quantum channel cannot be exactly simulated using a finite-dimensional programmable quantum processor, making it important to develop optimal approximate simulation techniques. In this paper, we study the challenging setting in which the channel to be simulated varies adversarially with time. We propose the use of matrix exponentiated gradient descent (MEGD), an online convex optimization method, and analytically show that it achieves a sublinear regret in time. Through experiments, we validate the main results for time-varying dephasing channels using a programmable generalized teleportation processor.




Abstract:Commonly adopted in the manufacturing and aerospace sectors, digital twin (DT) platforms are increasingly seen as a promising paradigm to control, monitor, and analyze software-based, "open", communication systems. Notably, DT platforms provide a sandbox in which to test artificial intelligence (AI) solutions for communication systems, potentially reducing the need to collect data and test algorithms in the field, i.e., on the physical twin (PT). A key challenge in the deployment of DT systems is to ensure that virtual control optimization, monitoring, and analysis at the DT are safe and reliable, avoiding incorrect decisions caused by "model exploitation". To address this challenge, this paper presents a general Bayesian framework with the aim of quantifying and accounting for model uncertainty at the DT that is caused by limitations in the amount and quality of data available at the DT from the PT. In the proposed framework, the DT builds a Bayesian model of the communication system, which is leveraged to enable core DT functionalities such as control via multi-agent reinforcement learning (MARL), monitoring of the PT for anomaly detection, prediction, data-collection optimization, and counterfactual analysis. To exemplify the application of the proposed framework, we specifically investigate a case-study system encompassing multiple sensing devices that report to a common receiver. Experimental results validate the effectiveness of the proposed Bayesian framework as compared to standard frequentist model-based solutions.


Abstract:Bayesian Federated Learning (FL) offers a principled framework to account for the uncertainty caused by limitations in the data available at the nodes implementing collaborative training. In Bayesian FL, nodes exchange information about local posterior distributions over the model parameters space. This paper focuses on Bayesian FL implemented in a device-to-device (D2D) network via Decentralized Stochastic Gradient Langevin Dynamics (DSGLD), a recently introduced gradient-based Markov Chain Monte Carlo (MCMC) method. Based on the observation that DSGLD applies random Gaussian perturbations of model parameters, we propose to leverage channel noise on the D2D links as a mechanism for MCMC sampling. The proposed approach is compared against a conventional implementation of frequentist FL based on compression and digital transmission, highlighting advantages and limitations.




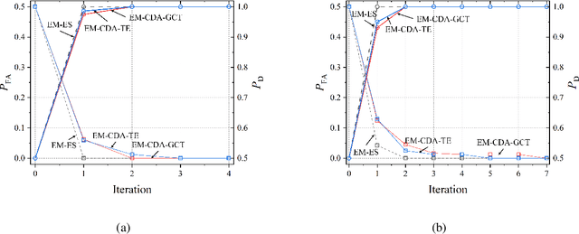
Abstract:Consider a processor having access only to meta-data consisting of the timings of data packets and acknowledgment (ACK) packets from all nodes in a network. The meta-data report the source node of each packet, but not the destination nodes or the contents of the packets. The goal of the processor is to infer the network topology based solely on such information. Prior work leveraged causality metrics to identify which links are active. If the data timings and ACK timings of two nodes -- say node 1 and node 2, respectively -- are causally related, this may be taken as evidence that node 1 is communicating to node 2 (which sends back ACK packets to node 1). This paper starts with the observation that packet losses can weaken the causality relationship between data and ACK timing streams. To obviate this problem, a new Expectation Maximization (EM)-based algorithm is introduced -- EM-causality discovery algorithm (EM-CDA) -- which treats packet losses as latent variables. EM-CDA iterates between the estimation of packet losses and the evaluation of causality metrics. The method is validated through extensive experiments in wireless sensor networks on the NS-3 simulation platform.




Abstract:Commonly adopted in the manufacturing and aerospace sectors, digital twin (DT) platforms are increasingly seen as a promising paradigm to control and monitor software-based, "open", communication systems, which play the role of the physical twin (PT). In the general framework presented in this work, the DT builds a Bayesian model of the communication system, which is leveraged to enable core DT functionalities such as control via multi-agent reinforcement learning (MARL) and monitoring of the PT for anomaly detection. We specifically investigate the application of the proposed framework to a simple case-study system encompassing multiple sensing devices that report to a common receiver. The Bayesian model trained at the DT has the key advantage of capturing epistemic uncertainty regarding the communication system, e.g., regarding current traffic conditions, which arise from limited PT-to-DT data transfer. Experimental results validate the effectiveness of the proposed Bayesian framework as compared to standard frequentist model-based solutions.



Abstract:AI tools can be useful to address model deficits in the design of communication systems. However, conventional learning-based AI algorithms yield poorly calibrated decisions, unabling to quantify their outputs uncertainty. While Bayesian learning can enhance calibration by capturing epistemic uncertainty caused by limited data availability, formal calibration guarantees only hold under strong assumptions about the ground-truth, unknown, data generation mechanism. We propose to leverage the conformal prediction framework to obtain data-driven set predictions whose calibration properties hold irrespective of the data distribution. Specifically, we investigate the design of baseband demodulators in the presence of hard-to-model nonlinearities such as hardware imperfections, and propose set-based demodulators based on conformal prediction. Numerical results confirm the theoretical validity of the proposed demodulators, and bring insights into their average prediction set size efficiency.




Abstract:Conventional frequentist learning is known to yield poorly calibrated models that fail to reliably quantify the uncertainty of their decisions. Bayesian learning can improve calibration, but formal guarantees apply only under restrictive assumptions about correct model specification. Conformal prediction (CP) offers a general framework for the design of set predictors with calibration guarantees that hold regardless of the underlying data generation mechanism. However, when training data are limited, CP tends to produce large, and hence uninformative, predicted sets. This paper introduces a novel meta-learning solution that aims at reducing the set prediction size. Unlike prior work, the proposed meta-learning scheme, referred to as meta-XB, (i) builds on cross-validation-based CP, rather than the less efficient validation-based CP; and (ii) preserves formal per-task calibration guarantees, rather than less stringent task-marginal guarantees. Finally, meta-XB is extended to adaptive non-conformal scores, which are shown empirically to further enhance marginal per-input calibration.




Abstract:Deep learning has achieved remarkable success in many machine learning tasks such as image classification, speech recognition, and game playing. However, these breakthroughs are often difficult to translate into real-world engineering systems because deep learning models require a massive number of training samples, which are costly to obtain in practice. To address labeled data scarcity, few-shot meta-learning optimizes learning algorithms that can efficiently adapt to new tasks quickly. While meta-learning is gaining significant interest in the machine learning literature, its working principles and theoretic fundamentals are not as well understood in the engineering community. This review monograph provides an introduction to meta-learning by covering principles, algorithms, theory, and engineering applications. After introducing meta-learning in comparison with conventional and joint learning, we describe the main meta-learning algorithms, as well as a general bilevel optimization framework for the definition of meta-learning techniques. Then, we summarize known results on the generalization capabilities of meta-learning from a statistical learning viewpoint. Applications to communication systems, including decoding and power allocation, are discussed next, followed by an introduction to aspects related to the integration of meta-learning with emerging computing technologies, namely neuromorphic and quantum computing. The monograph is concluded with an overview of open research challenges.




Abstract:Neuromorphic computing is an emerging technology that support event-driven data processing for applications requiring efficient online inference and/or control. Recent work has introduced the concept of neuromorphic communications, whereby neuromorphic computing is integrated with impulse radio (IR) transmission to implement low-energy and low-latency remote inference in wireless IoT networks. In this paper, we introduce neuromorphic integrated sensing and communications (N-ISAC), a novel solution that enables efficient online data decoding and radar sensing. N-ISAC leverages a common IR waveform for the dual purpose of conveying digital information and of detecting the presence or absence of a radar target. A spiking neural network (SNN) is deployed at the receiver to decode digital data and detect the radar target using directly the received signal. The SNN operation is optimized by balancing performance metric for data communications and radar sensing, highlighting synergies and trade-offs between the two applications.