Abstract:We establish parameter inference for the Poisson canonical polyadic (PCP) tensor model through a latent-variable formulation. Our approach exploits the observation that any random PCP tensor can be derived by marginalizing an unobservable random tensor of one dimension larger. The loglikelihood of this larger dimensional tensor, referred to as the "complete" loglikelihood, is comprised of multiple rank one PCP loglikelihoods. Using this methodology, we first derive non-iterative maximum likelihood estimators for the PCP model and demonstrate that several existing algorithms for fitting non-negative matrix and tensor factorizations are Expectation-Maximization algorithms. Next, we derive the observed and expected Fisher information matrices for the PCP model. The Fisher information provides us crucial insights into the well-posedness of the tensor model, such as the role that tensor rank plays in identifiability and indeterminacy. For the special case of rank one PCP models, we demonstrate that these results are greatly simplified.
Abstract:We establish non-asymptotic efficiency guarantees for tensor decomposition-based inference in count data models. Under a Poisson framework, we consider two related goals: (i) parametric inference, the estimation of the full distributional parameter tensor, and (ii) multiway analysis, the recovery of its canonical polyadic (CP) decomposition factors. Our main result shows that in the rank-one setting, a rank-constrained maximum-likelihood estimator achieves multiway analysis with variance matching the Cram\'{e}r-Rao Lower Bound (CRLB) up to absolute constants and logarithmic factors. This provides a general framework for studying "near-efficient" multiway estimators in finite-sample settings. For higher ranks, we illustrate that our multiway estimator may not attain the CRLB; nevertheless, CP-based parametric inference remains nearly minimax optimal, with error bounds that improve on prior work by offering more favorable dependence on the CP rank. Numerical experiments corroborate near-efficiency in the rank-one case and highlight the efficiency gap in higher-rank scenarios.
Abstract:We revisit the sample and computational complexity of completing a rank-1 tensor in $\otimes_{i=1}^{N} \mathbb{R}^{d}$, given a uniformly sampled subset of its entries. We present a characterization of the problem (i.e. nonzero entries) which admits an algorithm amounting to Gauss-Jordan on a pair of random linear systems. For example, when $N = \Theta(1)$, we prove it uses no more than $m = O(d^2 \log d)$ samples and runs in $O(md^2)$ time. Moreover, we show any algorithm requires $\Omega(d\log d)$ samples. By contrast, existing upper bounds on the sample complexity are at least as large as $d^{1.5} \mu^{\Omega(1)} \log^{\Omega(1)} d$, where $\mu$ can be $\Theta(d)$ in the worst case. Prior work obtained these looser guarantees in higher rank versions of our problem, and tend to involve more complicated algorithms.




Abstract:Tensor completion is a core machine learning algorithm used in recommender systems and other domains with missing data. While the matrix case is well-understood, theoretical results for tensor problems are limited, particularly when the sampling patterns are deterministic. Here we bound the generalization error of the solutions of two tensor completion methods, Poisson loss and atomic norm minimization, providing tighter bounds in terms of the target tensor rank. If the ground-truth tensor is order $t$ with CP-rank $r$, the dependence on $r$ is improved from $r^{2(t-1)(t^2-t-1)}$ in arXiv:1910.10692 to $r^{2(t-1)(3t-5)}$. The error in our bounds is deterministically controlled by the spectral gap of the sampling sparsity pattern. We also prove several new properties for the atomic tensor norm, reducing the rank dependence from $r^{3t-3}$ in arXiv:1711.04965 to $r^{3t-5}$ under random sampling schemes. A limitation is that atomic norm minimization, while theoretically interesting, leads to inefficient algorithms. However, numerical experiments illustrate the dependence of the reconstruction error on the spectral gap for the practical max-quasinorm, ridge penalty, and Poisson loss minimization algorithms. This view through the spectral gap is a promising window for further study of tensor algorithms.




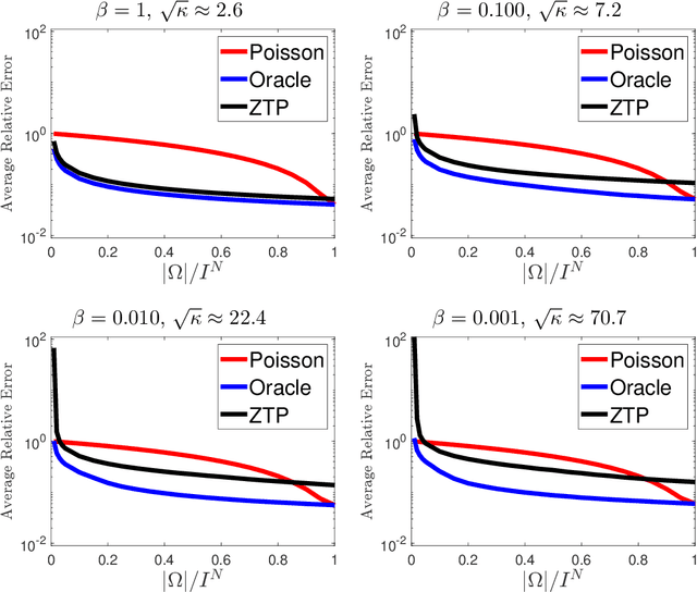
Abstract:We propose a novel statistical inference paradigm for zero-inflated multiway count data that dispenses with the need to distinguish between true and false zero counts. Our approach ignores all zero entries and applies zero-truncated Poisson regression on the positive counts. Inference is accomplished via tensor completion that imposes low-rank structure on the Poisson parameter space. Our main result shows that an $N$-way rank-$R$ parametric tensor $\boldsymbol{\mathscr{M}}\in(0,\infty)^{I\times \cdots\times I}$ generating Poisson observations can be accurately estimated from approximately $IR^2\log_2^2(I)$ non-zero counts for a nonnegative canonical polyadic decomposition. Several numerical experiments are presented demonstrating that our zero-truncated paradigm is comparable to the ideal scenario where the locations of false zero counts are known a priori.




Abstract:Acquisition cost is a crucial bottleneck for seismic workflows, and low-rank formulations for data interpolation allow practitioners to `fill in' data volumes from critically subsampled data acquired in the field. Tremendous size of seismic data volumes required for seismic processing remains a major challenge for these techniques. We propose a new approach to solve residual constrained formulations for interpolation. We represent the data volume using matrix factors, and build a block-coordinate algorithm with constrained convex subproblems that are solved with a primal-dual splitting scheme. The new approach is competitive with state of the art level-set algorithms that interchange the role of objectives with constraints. We use the new algorithm to successfully interpolate a large scale 5D seismic data volume, generated from the geologically complex synthetic 3D Compass velocity model, where 80% of the data has been removed.