Abstract:We introduce a novel framework for uncertainty quantification in clustering. By combining the martingale posterior paradigm with density-based clustering, uncertainty in the estimated density is naturally propagated to the clustering structure. The approach scales effectively to high-dimensional and irregularly shaped data by leveraging modern neural density estimators and GPU-friendly parallel computation. We establish frequentist consistency guarantees and validate the methodology on synthetic and real data.
Abstract:This paper presents a novel optimization framework to address key challenges presented by modern machine learning applications: High dimensionality, distributional uncertainty, and data heterogeneity. Our approach unifies regularized estimation, distributionally robust optimization (DRO), and hierarchical Bayesian modeling in a single data-driven criterion. By employing a hierarchical Dirichlet process (HDP) prior, the method effectively handles multi-source data, achieving regularization, distributional robustness, and borrowing strength across diverse yet related data-generating processes. We demonstrate the method's advantages by establishing theoretical performance guarantees and tractable Monte Carlo approximations based on Dirichlet process (DP) theory. Numerical experiments validate the framework's efficacy in improving and stabilizing both prediction and parameter estimation accuracy, showcasing its potential for application in complex data environments.




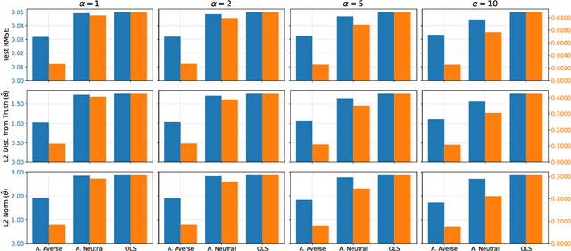
Abstract:Training machine learning and statistical models often involves optimizing a data-driven risk criterion. The risk is usually computed with respect to the empirical data distribution, but this may result in poor and unstable out-of-sample performance due to distributional uncertainty. In the spirit of distributionally robust optimization, we propose a novel robust criterion by combining insights from Bayesian nonparametric (i.e., Dirichlet Process) theory and recent decision-theoretic models of smooth ambiguity-averse preferences. First, we highlight novel connections with standard regularized empirical risk minimization techniques, among which Ridge and LASSO regressions. Then, we theoretically demonstrate the existence of favorable finite-sample and asymptotic statistical guarantees on the performance of the robust optimization procedure. For practical implementation, we propose and study tractable approximations of the criterion based on well-known Dirichlet Process representations. We also show that the smoothness of the criterion naturally leads to standard gradient-based numerical optimization. Finally, we provide insights into the workings of our method by applying it to high-dimensional sparse linear regression and robust location parameter estimation tasks.
Abstract:Monte Carlo (MC) approximation has been used as the standard computation approach for the Sliced Wasserstein (SW) distance, which has an intractable expectation in its analytical form. However, the MC method is not optimal in terms of minimizing the absolute approximation error. To provide a better class of empirical SW, we propose quasi-sliced Wasserstein (QSW) approximations that rely on Quasi-Monte Carlo (QMC) methods. For a comprehensive investigation of QMC for SW, we focus on the 3D setting, specifically computing the SW between probability measures in three dimensions. In greater detail, we empirically verify various ways of constructing QMC points sets on the 3D unit-hypersphere, including Gaussian-based mapping, equal area mapping, generalized spiral points, and optimizing discrepancy energies. Furthermore, to obtain an unbiased estimation for stochastic optimization, we extend QSW into Randomized Quasi-Sliced Wasserstein (RQSW) by introducing randomness to the discussed low-discrepancy sequences. For theoretical properties, we prove the asymptotic convergence of QSW and the unbiasedness of RQSW. Finally, we conduct experiments on various 3D tasks, such as point-cloud comparison, point-cloud interpolation, image style transfer, and training deep point-cloud autoencoders, to demonstrate the favorable performance of the proposed QSW and RQSW variants.