

Abstract:Integrated sensing and communication (ISAC) has been recognized as one of the key technologies for future wireless networks, which potentially need to operate in multiple frequency bands to satisfy ever-increasing demands for both communication and sensing services. Motivated by this, we consider the sum sensing rate (SR) optimization for a cooperative ISAC system with linear precoding, where each base station (BS) works in a different frequency band. With this aim, we propose an optimization algorithm based on the semi-definite rank relaxation that introduces covariance matrices as optimization variables, and we apply the inner approximation (IA) method to deal with the nonconvexity of the resulting problem. Simulation results show that the proposed algorithm increases the SR by approximately 25 % and 40 % compared to the case of equal power distribution in a cooperative ISAC system with two and three BSs, respectively. Additionally, the algorithm converges in only a few iterations, while its most optimal implementation scenario is in the low power regime.
Abstract:We investigate the achievable rate (AR) of a stacked intelligent metasurface (SIM)-aided holographic multiple-input multiple-output (HMIMO) system by jointly optimizing the SIM phase shifts and power allocation. Contrary to earlier studies suggesting that the AR decreases when the number of metasurface layers increases past a certain point for \emph{a fixed SIM thickness}, our findings demonstrate consistent increase. To achieve this, we introduce two problem formulations: one based on directly maximizing the AR (RMax) and the other focused on minimizing inter-stream interference (IMin). To solve the RMax problem, we apply Riemannian manifold optimization (RMO) and weighted minimum mean square error (WMMSE) methods to optimize the SIM phase shifts and power allocation alternately. For the IMin problem, we derive an efficient algorithm that iteratively updates each meta-atom's phase shift using a closed-form expression while keeping others fixed. Our key contribution is integrating these two approaches, where the IMin solution initializes the SIM phase shifts in the first algorithm. This hybrid strategy enhances AR performance across varying numbers of metasurface layers. Simulation results demonstrate that the proposed algorithms outperform existing benchmarks. Most importantly, we show that increasing the number of metasurface layers while keeping the SIM thickness fixed leads to significant AR improvements.
Abstract:Reconfigurable intelligent surfaces (RISs) have huge potential to improve spectral and energy efficiency in future wireless systems at a minimal cost. However, early prototype results indicate that deploying hundreds or thousands of reflective elements is necessary for significant performance gains. Motivated by this, our study focuses on \emph{large-scale } RIS-assisted multi-user (MU) multiple-input multiple-output (MIMO) systems. In this context, we propose an efficient algorithm to jointly design the precoders at the base station (BS) and the phase shifts at the RIS to maximize the weighted sum rate (WSR). In particular, leveraging an equivalent lower-dimensional reformulation of the WSR maximization problem, we derive a closed-form solution to optimize the precoders using the successive convex approximation (SCA) framework. While the equivalent reformulation proves to be efficient for the precoder optimization, we offer numerical insights into why the original formulation of the WSR optimization problem is better suited for the phase shift optimization. Subsequently, we develop a scaled projected gradient method (SPGM) and a novel line search procedure to optimize RIS phase shifts. Notably, we show that the complexity of the proposed method \emph{scales linearly with the number of BS antennas and RIS reflective elements}. Extensive numerical experiments demonstrate that the proposed algorithm significantly reduces both time and computational complexity while achieving higher WSR compared to baseline algorithms.
Abstract:Dynamic metasurface antennas (DMAs) are an alternative application of metasurfaces as active reconfigurable antennas with advanced analog signal processing and beamforming capabilities, which have been proposed to replace conventional antenna arrays for next generation transceivers. Motivated by this, we investigate the bit error probability (BEP) optimization in a DMA-based system, propose an iterative optimization algorithm, which adjusts the transmit precoder and the weights of the DMA elements, prove its convergence and derive complexity.
Abstract:In the context of emerging stacked intelligent metasurface (SIM)-based holographic MIMO (HMIMO) systems, a fundamental problem is to study the mutual information (MI) between transmitted and received signals to establish their capacity. However, direct optimization or analytical evaluation of the MI, particularly for discrete signaling, is often intractable. To address this challenge, we adopt the channel cutoff rate (CR) as an alternative optimization metric for the MI maximization. In this regard, we propose an alternating projected gradient method (APGM), which optimizes the CR of a SIM-based HMIMO system by adjusting signal precoding and the phase shifts across the transmit and receive SIMs in a layer-by-layer basis. Simulation results indicate that the proposed algorithm significantly enhances the CR, achieving substantial gains proportional to those observed for the corresponding MI. This justifies the effectiveness of using the channel CR for the MI optimization. Moreover, we demonstrate that the integration of digital precoding, even on a modest scale, has a significant impact on the ultimate performance of SIM-aided systems.




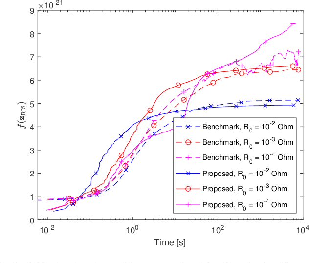
Abstract:The electromagnetic (EM) features of reconfigurable intelligent surfaces (RISs) fundamentally determine their operating principles and performance. Motivated by these considerations, we study a single-input single-output (SISO) system in the presence of an RIS, which is characterized by a circuit-based EM-compliant model. Specifically, we model the RIS as a collection of thin wire dipoles controlled by tunable load impedances, and we propose a gradient-based algorithm for calculating the optimal impedances of the scattering elements of the RIS in the presence of mutual coupling. Furthermore, we prove the convergence of the proposed algorithm and derive its computational complexity in terms of number of complex multiplications. Numerical results show that the proposed algorithm provides better performance than a benchmark algorithm and that it converges in a shorter amount of time.



Abstract:In this paper, we consider intelligent omni-surfaces (IOSs), which are capable of simultaneously reflecting and refracting electromagnetic waves. We focus our attention on the multiple-input multiple-output (MIMO) broadcast channel, and we introduce an algorithm for jointly optimizing the covariance matrix at the base station, the matrix of reflection and transmission coefficients at the IOS, and the amount of power that is reflected and refracted from the IOS. The distinguishable feature of this work lies in taking into account that the reflection and transmission coefficients of an IOS are tightly coupled. Simulation results are illustrated to show the convergence of the proposed algorithm and the benefits of using surfaces with simultaneous reflection and refraction capabilities.




Abstract:Accurate channel estimation is essential to achieve the performance gains promised by the use of reconfigurable intelligent surfaces (RISs) in wireless communications. In the uplink of multi-user orthogonal frequency division multiple access (OFDMA) systems, synchronization errors such as carrier frequency offsets (CFOs) can significantly degrade the channel estimation performance. This becomes more critical in RIS-aided communications, as even a small channel estimation error leads to a significant performance loss. Motivated by this, we propose a joint CFO and channel estimation method for RIS-aided multi-user massive multiple-input multiple-output (MIMO) systems. Our proposed pilot structure allows accurate estimation of the CFOs without multi-user interference (MUI), using the same pilot resources for both CFO estimation and channel estimation. For joint estimation of multiple users' CFOs, a correlation-based approach is devised using the received signals at all BS antennas. Using least-squares (LS) estimation with the obtained CFO values, the channels of all users are jointly estimated. For optimization of the RIS phase shifts at the data transmission stage, we propose a projected gradient method (PGM). Simulation results demonstrate that the proposed method provides an improvement in the normalized mean-square error (NMSE) of channel estimation as well as in the bit error rate (BER) performance.




Abstract:Accurate channel estimation is essential for achieving the performance gains offered by reconfigurable intelligent surface (RIS)-assisted wireless communications. Recently, a large number of channel estimation methods for RIS-assisted wireless communications have been proposed. However, none of the existing methods takes into account the influence of carrier frequency offset (CFO). In general, CFO can significantly degrade channel estimation for orthogonal frequency division multiplexing (OFDM) systems, since it breaks the orthogonality of subcarriers. Motivated by this, we investigate the effect of CFO on channel estimation for RIS-aided OFDM systems. Furthermore, we propose a joint CFO and channel impulse response (CIR) estimation method for RIS-aided OFDM systems. Simulation results demonstrate the effectiveness of our proposed joint CFO and CIR estimation method, and also demonstrate that the use of the time domain for estimation in this context results in a factor of 10 improvement in the mean-squared error (MSE) performance of channel estimation. Finally, the total computational complexity of the proposed method, including both CFO and channel estimation, is lower than the complexity of the conventional frequency-domain channel estimation method without CFO estimation.