

Abstract:We consider the achievable rate maximization problem for intelligent reflecting surface (IRS) assisted multiple-input multiple-output systems in an underlay spectrum sharing scenario, subject to interference power constraints at primary users. The formulated non-convex optimization problem is challenging to solve due to its non-convexity as well as coupling design variables in the constraints. Different from existing works that are mostly based on alternating optimization (AO), we propose a penalty dual decomposition based gradient projection (PDDGP) algorithm to solve this problem. We also provide a convergence proof and a complexity analysis for the proposed algorithm. We benchmark the proposed algorithm against two known solutions, namely a minimum mean-square error based AO algorithm and an inner approximation method with block coordinate descent. Specifically, the complexity of the proposed algorithm is $O(N_I^2)$ while that of the two benchmark methods is $O(N_I^3)$, where $N_I$ is the number of IRS elements. Moreover, numerical results show that the proposed PDDGP algorithm yields considerably higher achievable rate than the benchmark solutions.




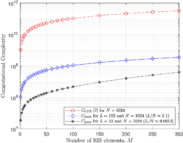
Abstract:Accurate channel estimation is essential for achieving the performance gains offered by reconfigurable intelligent surface (RIS)-assisted wireless communications. Recently, a large number of channel estimation methods for RIS-assisted wireless communications have been proposed. However, none of the existing methods takes into account the influence of carrier frequency offset (CFO). In general, CFO can significantly degrade channel estimation for orthogonal frequency division multiplexing (OFDM) systems, since it breaks the orthogonality of subcarriers. Motivated by this, we investigate the effect of CFO on channel estimation for RIS-aided OFDM systems. Furthermore, we propose a joint CFO and channel impulse response (CIR) estimation method for RIS-aided OFDM systems. Simulation results demonstrate the effectiveness of our proposed joint CFO and CIR estimation method, and also demonstrate that the use of the time domain for estimation in this context results in a factor of 10 improvement in the mean-squared error (MSE) performance of channel estimation. Finally, the total computational complexity of the proposed method, including both CFO and channel estimation, is lower than the complexity of the conventional frequency-domain channel estimation method without CFO estimation.