Abstract:Large Language Models (LLMs) remain heavily centered on English, with limited performance in low-resource languages. Existing adaptation approaches, such as continual pre-training, demand significant computational resources. In the case of instructed models, high-quality instruction data is also required, both of which are often inaccessible for low-resource language communities. Under these constraints, model merging offers a lightweight alternative, but its potential in low-resource contexts has not been systematically explored. In this work, we explore whether it is possible to transfer language knowledge to an instruction-tuned LLM by merging it with a language-specific base model, thereby eliminating the need of language-specific instructions and repeated fine-tuning processes whenever stronger instructed variants become available. Through experiments covering four Iberian languages (Basque, Catalan, Galician, and Spanish) and two model families, we show that merging enables effective instruction following behavior in new languages and even supports multilingual capability through the combination of multiple language-specific models. Our results indicate that model merging is a viable and efficient alternative to traditional adaptation methods for low-resource languages, achieving competitive performance while greatly reducing computational cost.
Abstract:Recent progress in Natural Language Processing (NLP) has been driven by the emergence of Large Language Models (LLMs), which exhibit remarkable generative and reasoning capabilities. However, despite their success, evaluating the true semantic understanding of these models remains a persistent challenge. Traditional benchmarks such as Word-in-Context (WiC) effectively probe this capability, but their creation is resource-intensive and often limited to high-resource languages. In this paper, we introduce SemBench, a framework for automatically generating synthetic benchmarks that assess the semantic competence of LLMs using only dictionary sense definitions and a sentence encoder. This approach eliminates the need for curated example sentences, making it both scalable and language-independent. We evaluate SemBench in three languages (English, Spanish, and Basque) spanning different levels of linguistic resources, and across a wide range of LLMs. Our results show that rankings derived from SemBench strongly correlate with those obtained from standard WiC datasets. Furthermore, our analysis demonstrates that only a small number of examples is required to achieve stable and meaningful rankings. Overall, SemBench provides a lightweight, adaptable, and data-efficient framework for cross-lingual evaluation of semantic understanding in LLMs.
Abstract:Large language models (LLMs) and machine translation (MT) systems are increasingly used in our daily lives, but their outputs can reproduce gender bias present in the training data. Most resources for evaluating such biases are designed for English and reflect its sociocultural context, which limits their applicability to other languages. This work addresses this gap by introducing two new datasets to evaluate gender bias in translations involving Basque, a low-resource and genderless language. WinoMTeus adapts the WinoMT benchmark to examine how gender-neutral Basque occupations are translated into gendered languages such as Spanish and French. FLORES+Gender, in turn, extends the FLORES+ benchmark to assess whether translation quality varies when translating from gendered languages (Spanish and English) into Basque depending on the gender of the referent. We evaluate several general-purpose LLMs and open and proprietary MT systems. The results reveal a systematic preference for masculine forms and, in some models, a slightly higher quality for masculine referents. Overall, these findings show that gender bias is still deeply rooted in these models, and highlight the need to develop evaluation methods that consider both linguistic features and cultural context.




Abstract:Instructing language models with user intent requires large instruction datasets, which are only available for a limited set of languages. In this paper, we explore alternatives to conventional instruction adaptation pipelines in low-resource scenarios. We assume a realistic scenario for low-resource languages, where only the following are available: corpora in the target language, existing open-weight multilingual base and instructed backbone LLMs, and synthetically generated instructions sampled from the instructed backbone. We present a comprehensive set of experiments for Basque that systematically study different combinations of these components evaluated on benchmarks and human preferences from 1,680 participants. Our conclusions show that target language corpora are essential, with synthetic instructions yielding robust models, and, most importantly, that using as backbone an instruction-tuned model outperforms using a base non-instructed model, and improved results when scaling up. Using Llama 3.1 instruct 70B as backbone our model comes near frontier models of much larger sizes for Basque, without using any Basque data apart from the 1.2B word corpora. We release code, models, instruction datasets, and human preferences to support full reproducibility in future research on low-resource language adaptation.




Abstract:The widespread availability of Question Answering (QA) datasets in English has greatly facilitated the advancement of the Natural Language Processing (NLP) field. However, the scarcity of such resources for minority languages, such as Basque, poses a substantial challenge for these communities. In this context, the translation and alignment of existing QA datasets plays a crucial role in narrowing this technological gap. This work presents EuSQuAD, the first initiative dedicated to automatically translating and aligning SQuAD2.0 into Basque, resulting in more than 142k QA examples. We demonstrate EuSQuAD's value through extensive qualitative analysis and QA experiments supported with EuSQuAD as training data. These experiments are evaluated with a new human-annotated dataset.




Abstract:We introduce Latxa, a family of large language models for Basque ranging from 7 to 70 billion parameters. Latxa is based on Llama 2, which we continue pretraining on a new Basque corpus comprising 4.3M documents and 4.2B tokens. Addressing the scarcity of high-quality benchmarks for Basque, we further introduce 4 multiple choice evaluation datasets: EusProficiency, comprising 5,169 questions from official language proficiency exams; EusReading, comprising 352 reading comprehension questions; EusTrivia, comprising 1,715 trivia questions from 5 knowledge areas; and EusExams, comprising 16,774 questions from public examinations. In our extensive evaluation, Latxa outperforms all previous open models we compare to by a large margin. In addition, it is competitive with GPT-4 Turbo in language proficiency and understanding, despite lagging behind in reading comprehension and knowledge-intensive tasks. Both the Latxa family of models, as well as our new pretraining corpora and evaluation datasets, are publicly available under open licenses at https://github.com/hitz-zentroa/latxa. Our suite enables reproducible research on methods to build LLMs for low-resource languages.




Abstract:This paper introduces the first version of the NUBes corpus (Negation and Uncertainty annotations in Biomedical texts in Spanish). The corpus is part of an on-going research and currently consists of 29,682 sentences obtained from anonymised health records annotated with negation and uncertainty. The article includes an exhaustive comparison with similar corpora in Spanish, and presents the main annotation and design decisions. Additionally, we perform preliminary experiments using deep learning algorithms to validate the annotated dataset. As far as we know, NUBes is the largest publicly available corpus for negation in Spanish and the first that also incorporates the annotation of speculation cues, scopes, and events.




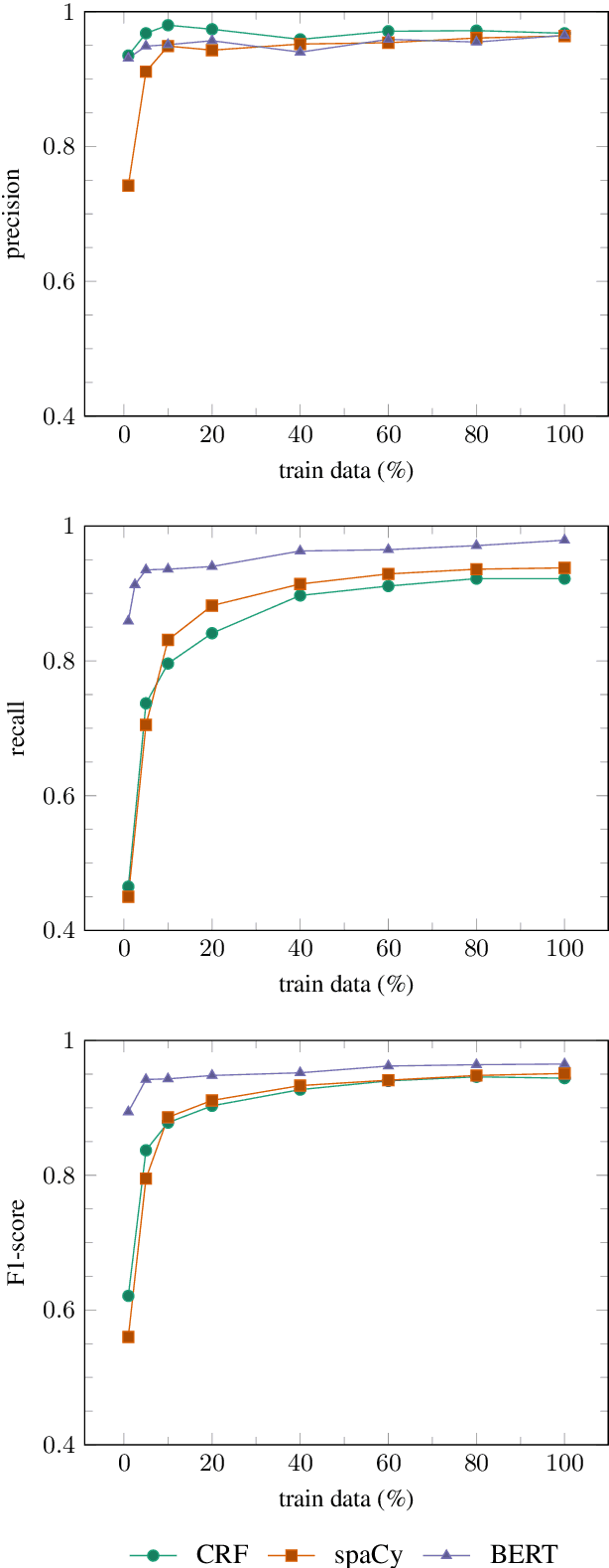
Abstract:Massive digital data processing provides a wide range of opportunities and benefits, but at the cost of endangering personal data privacy. Anonymisation consists in removing or replacing sensitive information from data, enabling its exploitation for different purposes while preserving the privacy of individuals. Over the years, a lot of automatic anonymisation systems have been proposed; however, depending on the type of data, the target language or the availability of training documents, the task remains challenging still. The emergence of novel deep-learning models during the last two years has brought large improvements to the state of the art in the field of Natural Language Processing. These advancements have been most noticeably led by BERT, a model proposed by Google in 2018, and the shared language models pre-trained on millions of documents. In this paper, we use a BERT-based sequence labelling model to conduct a series of anonymisation experiments on several clinical datasets in Spanish. We also compare BERT to other algorithms. The experiments show that a simple BERT-based model with general-domain pre-training obtains highly competitive results without any domain specific feature engineering.




Abstract:Hate speech is commonly defined as any communication that disparages a target group of people based on some characteristic such as race, colour, ethnicity, gender, sexual orientation, nationality, religion, or other characteristic. Due to the massive rise of user-generated web content on social media, the amount of hate speech is also steadily increasing. Over the past years, interest in online hate speech detection and, particularly, the automation of this task has continuously grown, along with the societal impact of the phenomenon. This paper describes a hate speech dataset composed of thousands of sentences manually labelled as containing hate speech or not. The sentences have been extracted from Stormfront, a white supremacist forum. A custom annotation tool has been developed to carry out the manual labelling task which, among other things, allows the annotators to choose whether to read the context of a sentence before labelling it. The paper also provides a thoughtful qualitative and quantitative study of the resulting dataset and several baseline experiments with different classification models. The dataset is publicly available.




Abstract:This paper presents a novel prototype for biomedical term normalization of electronic health record excerpts with the Unified Medical Language System (UMLS) Metathesaurus. Despite being multilingual and cross-lingual by design, we first focus on processing clinical text in Spanish because there is no existing tool for this language and for this specific purpose. The tool is based on Apache Lucene to index the Metathesaurus and generate mapping candidates from input text. It uses the IXA pipeline for basic language processing and resolves ambiguities with the UKB toolkit. It has been evaluated by measuring its agreement with MetaMap in two English-Spanish parallel corpora. In addition, we present a web-based interface for the tool.