Abstract:Unmanned aerial vehicle (UAV)-based integrated sensing and communication (ISAC) systems are poised to revolutionize next-generation wireless networks by enabling simultaneous sensing and communication (S\&C). This survey comprehensively reviews UAV-ISAC systems, highlighting foundational concepts, key advancements, and future research directions. We explore recent advancements in UAV-based ISAC systems from various perspectives and objectives, including advanced channel estimation (CE), beam tracking, and system throughput optimization under joint sensing and communication S\&C constraints. Additionally, we examine weighted sum rate (WSR) and sensing trade-offs, delay and age of information (AoI) minimization, energy efficiency (EE), and security enhancement. These applications highlight the potential of UAV-based ISAC systems to improve spectrum utilization, enhance communication reliability, reduce latency, and optimize energy consumption across diverse domains, including smart cities, disaster relief, and defense operations. The survey also features summary tables for comparative analysis of existing methodologies, emphasizing performance, limitations, and effectiveness in addressing various challenges. By synthesizing recent advancements and identifying open research challenges, this survey aims to be a valuable resource for developing efficient, adaptive, and secure UAV-based ISAC systems.





Abstract:Cell-free massive multiple input multiple output (MIMO) systems can provide reliable connectivity and increase user throughput and spectral efficiency of integrated sensing and communication (ISAC) systems. This can only be achieved through intelligent beamforming design. While many works have proposed optimization methods to design beamformers for cell-free systems, the underlying algorithms are computationally complex and potentially increase fronthaul link loads. To address this concern, we propose an unsupervised learning algorithm to jointly design the communication and sensing beamformers for cell-free ISAC system. Specifically, we adopt a teacher-student training model to guarantee a balanced maximization of sensing signal to noise ratio (SSNR) and signal to interference plus noise ratio (SINR), which represent the sensing and communication metrics, respectively. The proposed scheme is decentralized, which can reduce the load on the central processing unit (CPU) and the required fronthaul links. To avoid the tradeoff problem between sensing and communication counterparts of the cell-free system, we first train two identical models (teacher models) each biased towards one of the two tasks. A third identical model (a student model) is trained based on the maximum sensing and communication performance information obtained by the teacher models. While the results show that our proposed unsupervised DL approach yields a performance close to the state-of-the-art solution, the proposed approach is more computationally efficient than the state of the art by at least three orders of magnitude.





Abstract:Model-based deep learning methods such as \emph{loop unrolling} (LU) and \emph{deep equilibrium model} (DEQ) extensions offer outstanding performance in solving inverse problems (IP). These methods unroll the optimization iterations into a sequence of neural networks that in effect learn a regularization function from data. While these architectures are currently state-of-the-art in numerous applications, their success heavily relies on the accuracy of the forward model. This assumption can be limiting in many physical applications due to model simplifications or uncertainties in the apparatus. To address forward model mismatch, we introduce an untrained forward model residual block within the model-based architecture to match the data consistency in the measurement domain for each instance. We propose two variants in well-known model-based architectures (LU and DEQ) and prove convergence under mild conditions. The experiments show significant quality improvement in removing artifacts and preserving details across three distinct applications, encompassing both linear and nonlinear inverse problems. Moreover, we highlight reconstruction effectiveness in intermediate steps and showcase robustness to random initialization of the residual block and a higher number of iterations during evaluation.





Abstract:Integrated Sensing and Communication (ISAC), combined with data-driven approaches, has emerged as a highly significant field, garnering considerable attention from academia and industry. Its potential to enable wide-scale applications in the future sixth-generation (6G) networks has led to extensive recent research efforts. Machine learning (ML) techniques, including $K$-nearest neighbors (KNN), support vector machines (SVM), deep learning (DL) architectures, and reinforcement learning (RL) algorithms, have been deployed to address various design aspects of ISAC and its diverse applications. Therefore, this paper aims to explore integrating various ML techniques into ISAC systems, covering various applications. These applications span intelligent vehicular networks, encompassing unmanned aerial vehicles (UAVs) and autonomous cars, as well as radar applications, localization and tracking, millimeter wave (mmWave) and Terahertz (THz) communication, and beamforming. The contributions of this paper lie in its comprehensive survey of ML-based works in the ISAC domain and its identification of challenges and future research directions. By synthesizing the existing knowledge and proposing new research avenues, this survey serves as a valuable resource for researchers, practitioners, and stakeholders involved in advancing the capabilities of ISAC systems in the context of 6G networks.





Abstract:Energy harvesting converts ambient energy to electrical energy providing numerous opportunities to realize wireless sensors. Seismic exploration is a prime avenue to benefit from it as energy harvesting equipped geophones would relieve the burden of cables which account for the biggest chunk of exploration cost and equipment weight. Since numerous energies are abundantly available in seismic fields, these can be harvested to power up geophones. However, due to the random and intermittent nature of the harvested energy, it is important that geophones must be equipped to tap from several energy sources for a stable operation. It may involve some initial installation cost but in the long run, it is cost-effective and beneficial as the sources for energy harvesting are available naturally. Extensive research has been carried out in recent years to harvest energies from various sources. However, there has not been a thorough investigation of utilizing these developments in the seismic context. In this survey, a comprehensive literature review is provided on the research progress in energy harvesting methods suitable for direct adaptation in geophones. Specifically, the focus is on small form factor energy harvesting circuits and systems capable of harvesting energy from wind, sun, vibrations, temperature difference, and radio frequencies. Furthermore, case studies are presented to assess the suitability of the studied energy harvesting methods. Finally, a design of energy harvesting equipped geophone is also proposed.





Abstract:Seismic deconvolution is an essential step in seismic data processing that aims to extract layer information from noisy observed traces. In general, this is an ill-posed problem with non-unique solutions. Due to the sparse nature of the reflectivity sequence, spike-promoting regularizers such as the $\ell_1$-norm are frequently used. They either require rigorous coefficient tuning or strong assumptions about reflectivity, such as assuming reflectivity as sparse signals with known sparsity levels and zero-mean Gaussian noise with known noise levels. To overcome the limitations of traditional regularizers, learning-based regularizers are proposed in the recent past. This paper proposes a Learned Proximal operator for Seismic Deconvolution (LP4SD), which leverages a neural network to learn the proximal operator of a regularizer. LP4SD is trained in a loop unrolled manner and is capable of learning complicated structures from the training data. It is worth mentioning that the network is trained with synthetic data and evaluated on both synthetic and real data. LP4SD is shown to generate better reconstruction results in terms of three different metrics as compared to learning a direct inverse.





Abstract:In spite of the improvements achieved by the several denoising algorithms over the years, many of them still fail at preserving the fine details of the image after denoising. This is as a result of the smooth-out effect they have on the images. Most neural network-based algorithms have achieved better quantitative performance than the classical denoising algorithms. However, they also suffer from qualitative (visual) performance as a result of the smooth-out effect. In this paper, we propose an algorithm to address this shortcoming. We propose a deep collaborative filtering-based (Deep-CoFiB) algorithm for image denoising. This algorithm performs collaborative denoising of image patches in the sparse domain using a set of optimized neural network models. This results in a fast algorithm that is able to excellently obtain a trade-off between noise removal and details preservation. Extensive experiments show that the DeepCoFiB performed quantitatively (in terms of PSNR and SSIM) and qualitatively (visually) better than many of the state-of-the-art denoising algorithms.





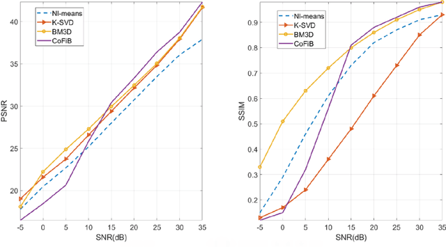
Abstract:Over the years, progressive improvements in denoising performance have been achieved by several image denoising algorithms that have been proposed. Despite this, many of these state-of-the-art algorithms tend to smooth out the denoised image resulting in the loss of some image details after denoising. Many also distort images of lower resolution resulting in a partial or complete structural loss. In this paper, we address these shortcomings by proposing a collaborative filtering-based (CoFiB) denoising algorithm. Our proposed algorithm performs weighted sparse domain collaborative denoising by taking advantage of the fact that similar patches tend to have similar sparse representations in the sparse domain. This gives our algorithm the intelligence to strike a balance between image detail preservation and noise removal. Our extensive experiments showed that our proposed CoFiB algorithm does not only preserve the image details but also perform excellently for images of any given resolution where many denoising algorithms tend to struggle, specifically at low resolutions.





Abstract:Recently, deep learning (DL) methods such as convolutional neural networks (CNNs) have gained prominence in the area of image denoising. This is owing to their proven ability to surpass state-of-the-art classical image denoising algorithms such as BM3D. Deep denoising CNNs (DnCNNs) use many feedforward convolution layers with added regularization methods of batch normalization and residual learning to improve denoising performance significantly. However, this comes at the expense of a huge number of trainable parameters. In this paper, we address this issue by reducing the number of parameters while achieving a comparable level of performance. We derive motivation from the improved performance obtained by training networks using the dense-sparse-dense (DSD) training approach. We extend this training approach to a reduced DnCNN (RDnCNN) network resulting in a faster denoising network with significantly reduced parameters and comparable performance to the DnCNN.





Abstract:In this paper, we propose a novel image denoising algorithm using collaborative support-agnostic sparse reconstruction. An observed image is first divided into patches. Similarly structured patches are grouped together to be utilized for collaborative processing. In the proposed collaborative schemes, similar patches are assumed to share the same support taps. For sparse reconstruction, the likelihood of a tap being active in a patch is computed and refined through a collaboration process with other similar patches in the same group. This provides very good patch support estimation, hence enhancing the quality of image restoration. Performance comparisons with state-of-the-art algorithms, in terms of SSIM and PSNR, demonstrate the superiority of the proposed algorithm.
