



Abstract:Channel coding plays a pivotal role in ensuring reliable communication over wireless channels. With the growing need for ultra-reliable communication in emerging wireless use cases, the significance of channel coding has amplified. Furthermore, minimizing decoding latency is crucial for critical-mission applications, while optimizing energy efficiency is paramount for mobile and the Internet of Things (IoT) communications. As the fifth generation (5G) of mobile communications is currently in operation and 5G-advanced is on the horizon, the objective of this paper is to assess prominent channel coding schemes in the context of recent advancements and the anticipated requirements for the sixth generation (6G). In this paper, after considering the potential impact of channel coding on key performance indicators (KPIs) of wireless networks, we review the evolution of mobile communication standards and the organizations involved in the standardization, from the first generation (1G) to the current 5G, highlighting the technologies integral to achieving targeted KPIs such as reliability, data rate, latency, energy efficiency, spectral efficiency, connection density, and traffic capacity. Following this, we delve into the anticipated requirements for potential use cases in 6G. The subsequent sections of the paper focus on a comprehensive review of three primary coding schemes utilized in past generations and their recent advancements: low-density parity-check (LDPC) codes, turbo codes (including convolutional codes), polar codes (alongside Reed-Muller codes). Additionally, we examine alternative coding schemes like Fountain codes and sparse regression codes. Our evaluation includes a comparative analysis of error correction performance and the performance of hardware implementation for these coding schemes, providing insights into their potential and suitability for the upcoming 6G era.
Abstract:The recently introduced maximum-likelihood (ML) decoding scheme called guessing random additive noise decoding (GRAND) has demonstrated a remarkably low time complexity in high signal-to-noise ratio (SNR) regimes. However, the complexity is not as low at low SNR regimes and low code rates. To mitigate this concern, we propose a scheme for a near-ML variant of GRAND called ordered reliability bits GRAND (or ORBGRAND), which divides codewords into segments based on the properties of the underlying code, generates sub-patterns for each segment consistent with the syndrome (thus reducing the number of inconsistent error patterns generated), and combines them in a near-ML order using two-level integer partitions of logistic weight. The numerical evaluation demonstrates that the proposed scheme, called segmented ORBGRAND, significantly reduces the average number of queries at any SNR regime. Moreover, the segmented ORBGRAND with abandonment also improves the error correction performance.




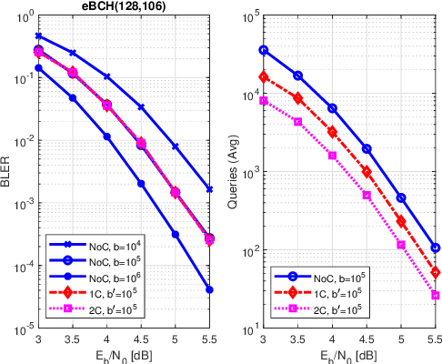
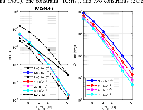
Abstract:Maximum-likelihood (ML) decoding can be used to obtain the optimal performance of error correction codes. However, the size of the search space and consequently the decoding complexity grows exponentially, making it impractical to be employed for long codes. In this paper, we propose an approach to constrain the search space for error patterns under a recently introduced near ML decoding scheme called guessing random additive noise decoding (GRAND). In this approach, the syndrome-based constraints which divide the search space into disjoint sets are progressively evaluated. By employing $p$ constraints extracted from the parity check matrix, the average number of queries reduces by a factor of $2^p$ while the error correction performance remains intact.