



Abstract:The emergence of generative artificial intelligence (GenAI) and large language models (LLMs) has revolutionized the landscape of digital content creation in different modalities. However, its potential use in Physical AI for engineering design, where the production of physically viable artifacts is paramount, remains vastly underexplored. The absence of physical knowledge in existing LLM-to-3D models often results in outputs detached from real-world physical constraints. To address this gap, we introduce LLM-to-Phy3D, a physically conform online 3D object generation that enables existing LLM-to-3D models to produce physically conforming 3D objects on the fly. LLM-to-Phy3D introduces a novel online black-box refinement loop that empowers large language models (LLMs) through synergistic visual and physics-based evaluations. By delivering directional feedback in an iterative refinement process, LLM-to-Phy3D actively drives the discovery of prompts that yield 3D artifacts with enhanced physical performance and greater geometric novelty relative to reference objects, marking a substantial contribution to AI-driven generative design. Systematic evaluations of LLM-to-Phy3D, supported by ablation studies in vehicle design optimization, reveal various LLM improvements gained by 4.5% to 106.7% in producing physically conform target domain 3D designs over conventional LLM-to-3D models. The encouraging results suggest the potential general use of LLM-to-Phy3D in Physical AI for scientific and engineering applications.




Abstract:The rapid research and development of generative artificial intelligence has enabled the generation of high-quality images, text, and 3D models from text prompts. This advancement impels an inquiry into whether these models can be leveraged to create digital artifacts for both creative and engineering applications. Drawing on innovative designs from other domains may be one answer to this question, much like the historical practice of ``bionics", where humans have sought inspiration from nature's exemplary designs. This raises the intriguing possibility of using generative models to simultaneously tackle design tasks across multiple domains, facilitating cross-domain learning and resulting in a series of innovative design solutions. In this paper, we propose LLM2FEA as the first attempt to discover novel designs in generative models by transferring knowledge across multiple domains. By utilizing a multi-factorial evolutionary algorithm (MFEA) to drive a large language model, LLM2FEA integrates knowledge from various fields to generate prompts that guide the generative model in discovering novel and practical objects. Experimental results in the context of 3D aerodynamic design verify the discovery capabilities of the proposed LLM2FEA. The designs generated by LLM2FEA not only satisfy practicality requirements to a certain degree but also feature novel and aesthetically pleasing shapes, demonstrating the potential applications of LLM2FEA in discovery tasks.




Abstract:Engineering design optimization requires an efficient combination of a 3D shape representation, an optimization algorithm, and a design performance evaluation method, which is often computationally expensive. We present a prompt evolution design optimization (PEDO) framework contextualized in a vehicle design scenario that leverages a vision-language model for penalizing impractical car designs synthesized by a generative model. The backbone of our framework is an evolutionary strategy coupled with an optimization objective function that comprises a physics-based solver and a vision-language model for practical or functional guidance in the generated car designs. In the prompt evolutionary search, the optimizer iteratively generates a population of text prompts, which embed user specifications on the aerodynamic performance and visual preferences of the 3D car designs. Then, in addition to the computational fluid dynamics simulations, the pre-trained vision-language model is used to penalize impractical designs and, thus, foster the evolutionary algorithm to seek more viable designs. Our investigations on a car design optimization problem show a wide spread of potential car designs generated at the early phase of the search, which indicates a good diversity of designs in the initial populations, and an increase of over 20\% in the probability of generating practical designs compared to a baseline framework without using a vision-language model. Visual inspection of the designs against the performance results demonstrates prompt evolution as a very promising paradigm for finding novel designs with good optimization performance while providing ease of use in specifying design specifications and preferences via a natural language interface.
Abstract:Text-to-3D generation has shown great promise in generating novel 3D content based on given text prompts. However, existing generative methods mostly focus on geometric or visual plausibility while ignoring precise physics perception for the generated 3D shapes. This greatly hinders the practicality of generated 3D shapes in real-world applications. In this work, we propose Phy3DGen, a precise-physics-driven text-to-3D generation method. By analyzing the solid mechanics of generated 3D shapes, we reveal that the 3D shapes generated by existing text-to-3D generation methods are impractical for real-world applications as the generated 3D shapes do not conform to the laws of physics. To this end, we leverage 3D diffusion models to provide 3D shape priors and design a data-driven differentiable physics layer to optimize 3D shape priors with solid mechanics. This allows us to optimize geometry efficiently and learn precise physics information about 3D shapes at the same time. Experimental results demonstrate that our method can consider both geometric plausibility and precise physics perception, further bridging 3D virtual modeling and precise physical worlds.




Abstract:Synthesis of digital artifacts conditioned on user prompts has become an important paradigm facilitating an explosion of use cases with generative AI. However, such models often fail to connect the generated outputs and desired target concepts/preferences implied by the prompts. Current research addressing this limitation has largely focused on enhancing the prompts before output generation or improving the model's performance up front. In contrast, this paper conceptualizes prompt evolution, imparting evolutionary selection pressure and variation during the generative process to produce multiple outputs that satisfy the target concepts/preferences better. We propose a multi-objective instantiation of this broader idea that uses a multi-label image classifier-guided approach. The predicted labels from the classifiers serve as multiple objectives to optimize, with the aim of producing diversified images that meet user preferences. A novelty of our evolutionary algorithm is that the pre-trained generative model gives us implicit mutation operations, leveraging the model's stochastic generative capability to automate the creation of Pareto-optimized images more faithful to user preferences.




Abstract:Travel decisions tend to exhibit sensitivity to uncertainty and information processing constraints. These behavioural conditions can be characterized by a generative learning process. We propose a data-driven generative model version of rational inattention theory to emulate these behavioural representations. We outline the methodology of the generative model and the associated learning process as well as provide an intuitive explanation of how this process captures the value of prior information in the choice utility specification. We demonstrate the effects of information heterogeneity on a travel choice, analyze the econometric interpretation, and explore the properties of our generative model. Our findings indicate a strong correlation with rational inattention behaviour theory, which suggest that individuals may ignore certain exogenous variables and rely on prior information for evaluating decisions under uncertainty. Finally, the principles demonstrated in this study can be formulated as a generalized entropy and utility based multinomial logit model.




Abstract:Generative models, either by simple clustering algorithms or deep neural network architecture, have been developed as a probabilistic estimation method for dimension reduction or to model the underlying properties of data structures. Although their apparent use has largely been limited to image recognition and classification, generative machine learning algorithms can be a powerful tool for travel behaviour research. In this paper, we examine the generative machine learning approach for analyzing multiple discrete-continuous (MDC) travel behaviour data to understand the underlying heterogeneity and correlation, increasing the representational power of such travel behaviour models. We show that generative models are conceptually similar to choice selection behaviour process through information entropy and variational Bayesian inference. Specifically, we consider a restricted Boltzmann machine (RBM) based algorithm with multiple discrete-continuous layer, formulated as a variational Bayesian inference optimization problem. We systematically describe the proposed machine learning algorithm and develop a process of analyzing travel behaviour data from a generative learning perspective. We show parameter stability from model analysis and simulation tests on an open dataset with multiple discrete-continuous dimensions and a size of 293,330 observations. For interpretability, we derive analytical methods for conditional probabilities as well as elasticities. Our results indicate that latent variables in generative models can accurately represent joint distribution consistently w.r.t multiple discrete-continuous variables. Lastly, we show that our model can generate statistically similar data distributions for travel forecasting and prediction.



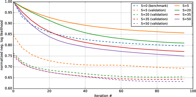
Abstract:In this paper, we implement an information-theoretic approach to travel behaviour analysis by introducing a generative modelling framework to identify informative latent characteristics in travel decision making. It involves developing a joint tri-partite Bayesian graphical network model using a Restricted Boltzmann Machine (RBM) generative modelling framework. We apply this framework on a mode choice survey data to identify abstract latent variables and compare the performance with a traditional latent variable model with specific latent preferences -- safety, comfort, and environmental. Data collected from a joint stated and revealed preference mode choice survey in Quebec, Canada were used to calibrate the RBM model. Results show that a signficant impact on model likelihood statistics and suggests that machine learning tools are highly suitable for modelling complex networks of conditional independent behaviour interactions.




Abstract:Conventional methods of estimating latent behaviour generally use attitudinal questions which are subjective and these survey questions may not always be available. We hypothesize that an alternative approach can be used for latent variable estimation through an undirected graphical models. For instance, non-parametric artificial neural networks. In this study, we explore the use of generative non-parametric modelling methods to estimate latent variables from prior choice distribution without the conventional use of measurement indicators. A restricted Boltzmann machine is used to represent latent behaviour factors by analyzing the relationship information between the observed choices and explanatory variables. The algorithm is adapted for latent behaviour analysis in discrete choice scenario and we use a graphical approach to evaluate and understand the semantic meaning from estimated parameter vector values. We illustrate our methodology on a financial instrument choice dataset and perform statistical analysis on parameter sensitivity and stability. Our findings show that through non-parametric statistical tests, we can extract useful latent information on the behaviour of latent constructs through machine learning methods and present strong and significant influence on the choice process. Furthermore, our modelling framework shows robustness in input variability through sampling and validation.




Abstract:In this paper, we present machine learning approaches for characterizing and forecasting the short-term demand for on-demand ride-hailing services. We propose the spatio-temporal estimation of the demand that is a function of variable effects related to traffic, pricing and weather conditions. With respect to the methodology, a single decision tree, bootstrap-aggregated (bagged) decision trees, random forest, boosted decision trees, and artificial neural network for regression have been adapted and systematically compared using various statistics, e.g. R-square, Root Mean Square Error (RMSE), and slope. To better assess the quality of the models, they have been tested on a real case study using the data of DiDi Chuxing, the main on-demand ride hailing service provider in China. In the current study, 199,584 time-slots describing the spatio-temporal ride-hailing demand has been extracted with an aggregated-time interval of 10 mins. All the methods are trained and validated on the basis of two independent samples from this dataset. The results revealed that boosted decision trees provide the best prediction accuracy (RMSE=16.41), while avoiding the risk of over-fitting, followed by artificial neural network (20.09), random forest (23.50), bagged decision trees (24.29) and single decision tree (33.55).