Abstract:Black-box optimization is increasingly used in engineering design problems where simulation-based evaluations are costly and gradients are unavailable. In this context, the optimization community has largely analyzed algorithm performance in context-free setups, while not enough attention has been devoted to how problem formulation and domain knowledge may affect the optimization outcomes. We address this gap through a case study in the topology optimization of laminated composite structures, formulated as a black-box optimization problem. Specifically, we consider the design of a cantilever beam under a volume constraint, intending to minimize compliance while optimizing both the structural topology and fiber orientations. To assess the impact of problem formulation, we explicitly separate topology and material design variables and compare two strategies: a concurrent approach that optimizes all variables simultaneously without leveraging physical insight, and a sequential approach that optimizes variables of the same nature in stages. Our results show that context-agnostic strategies consistently lead to suboptimal or non-physical designs. In contrast, the sequential strategy yields better-performing and more interpretable solutions. These findings underscore the value of incorporating, when available, domain knowledge into the optimization process and motivate the development of new black-box benchmarks that reward physically informed and context-aware optimization strategies.




Abstract:Despite coronary artery calcium scoring being considered a largely solved problem within the realm of medical artificial intelligence, this paper argues that significant improvements can still be made. By shifting the focus from pathology detection to a deeper understanding of anatomy, the novel algorithm proposed in the paper both achieves high accuracy in coronary artery calcium scoring and offers enhanced interpretability of the results. This approach not only aids in the precise quantification of calcifications in coronary arteries, but also provides valuable insights into the underlying anatomical structures. Through this anatomically-informed methodology, the paper shows how a nuanced understanding of the heart's anatomy can lead to more accurate and interpretable results in the field of cardiovascular health. We demonstrate the superior accuracy of the proposed method by evaluating it on an open-source multi-vendor dataset, where we obtain results at the inter-observer level, surpassing the current state of the art. Finally, the qualitative analyses show the practical value of the algorithm in such tasks as labeling coronary artery calcifications, identifying aortic calcifications, and filtering out false positive detections due to noise.




Abstract:Precise localization of coronary arteries in Computed Tomography (CT) scans is critical from the perspective of medical assessment of coronary artery disease. Although various methods exist that offer high-quality segmentation of coronary arteries in cardiac contrast-enhanced CT scans, the potential of less invasive, non-contrast CT in this area is still not fully exploited. Since such fine anatomical structures are hardly visible in this type of medical images, the existing methods are characterized by high recall and low precision, and are used mainly for filtering of atherosclerotic plaques in the context of calcium scoring. In this paper, we address this research gap and introduce a deep learning algorithm for segmenting coronary arteries in multi-vendor ECG-gated non-contrast cardiac CT images which benefits from a novel framework for semi-automatic generation of Ground Truth (GT) via image registration. We hypothesize that the proposed GT generation process is much more efficient in this case than manual segmentation, since it allows for a fast generation of large volumes of diverse data, which leads to well-generalizing models. To investigate and thoroughly evaluate the segmentation quality based on such an approach, we propose a novel method for manual mesh-to-image registration, which is used to create our test-GT. The experimental study shows that the trained model has significantly higher accuracy than the GT used for training, and leads to the Dice and clDice metrics close to the interrater variability.



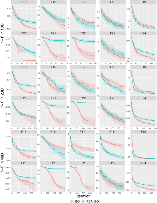
Abstract:Bayesian Optimization (BO) is a surrogate-assisted global optimization technique that has been successfully applied in various fields, e.g., automated machine learning and design optimization. Built upon a so-called infill-criterion and Gaussian Process regression (GPR), the BO technique suffers from a substantial computational complexity and hampered convergence rate as the dimension of the search spaces increases. Scaling up BO for high-dimensional optimization problems remains a challenging task. In this paper, we propose to tackle the scalability of BO by hybridizing it with a Principal Component Analysis (PCA), resulting in a novel PCA-assisted BO (PCA-BO) algorithm. Specifically, the PCA procedure learns a linear transformation from all the evaluated points during the run and selects dimensions in the transformed space according to the variability of evaluated points. We then construct the GPR model, and the infill-criterion in the space spanned by the selected dimensions. We assess the performance of our PCA-BO in terms of the empirical convergence rate and CPU time on multi-modal problems from the COCO benchmark framework. The experimental results show that PCA-BO can effectively reduce the CPU time incurred on high-dimensional problems, and maintains the convergence rate on problems with an adequate global structure. PCA-BO therefore provides a satisfactory trade-off between the convergence rate and computational efficiency opening new ways to benefit from the strength of BO approaches in high dimensional numerical optimization.