DICOM - Università degli Studi dell'Insubria

Abstract:Defeasible reasoning is a kind of reasoning where some generalisations may not be valid in all circumstances, that is general conclusions may fail in some cases. Various formalisms have been developed to model this kind of reasoning, which is characteristic of common-sense contexts. However, it is not easy for a modeller to choose among these systems the one that better fits its domain from an ontological point of view. In this paper we first propose a framework based on the notions of exceptionality and defeasibility in order to be able to compare formalisms and reveal their ontological commitments. Then, we apply this framework to compare four systems, showing the differences that may occur from an ontological perspective.




Abstract:We present a continuation to our previous work, in which we developed the MR-CKR framework to reason with knowledge overriding across contexts organized in multi-relational hierarchies. Reasoning is realized via ASP with algebraic measures, allowing for flexible definitions of preferences. In this paper, we show how to apply our theoretical work to real autonomous-vehicle scene data. Goal of this work is to apply MR-CKR to the problem of generating challenging scenes for autonomous vehicle learning. In practice, most of the scene data for AV learning models common situations, thus it might be difficult to capture cases where a particular situation occurs (e.g. partial occlusions of a crossing pedestrian). The MR-CKR model allows for data organization exploiting the multi-dimensionality of such data (e.g., temporal and spatial). Reasoning over multiple contexts enables the verification and configuration of scenes, using the combination of different scene ontologies. We describe a framework for semantically guided data generation, based on a combination of MR-CKR and Algebraic Measures. The framework is implemented in a proof-of-concept prototype exemplifying some cases of scene generation.

Abstract:Dealing with context dependent knowledge has led to different formalizations of the notion of context. Among them is the Contextualized Knowledge Repository (CKR) framework, which is rooted in description logics but links on the reasoning side strongly to logic programs and Answer Set Programming (ASP) in particular. The CKR framework caters for reasoning with defeasible axioms and exceptions in contexts, which was extended to knowledge inheritance across contexts in a coverage (specificity) hierarchy. However, the approach supports only this single type of contextual relation and the reasoning procedures work only for restricted hierarchies, due to non-trivial issues with model preference under exceptions. In this paper, we overcome these limitations and present a generalization of CKR hierarchies to multiple contextual relations, along with their interpretation of defeasible axioms and preference. To support reasoning, we use ASP with algebraic measures, which is a recent extension of ASP with weighted formulas over semirings that allows one to associate quantities with interpretations depending on the truth values of propositional atoms. Notably, we show that for a relevant fragment of CKR hierarchies with multiple contextual relations, query answering can be realized with the popular asprin framework. The algebraic measures approach is more powerful and enables e.g. reasoning with epistemic queries over CKRs, which opens interesting perspectives for the use of quantitative ASP extensions in other applications. Under consideration for acceptance in Theory and Practice of Logic Programming (TPLP).



Abstract:Reasoning on defeasible knowledge is a topic of interest in the area of description logics, as it is related to the need of representing exceptional instances in knowledge bases. In this direction, in our previous works we presented a framework for representing (contextualized) OWL RL knowledge bases with a notion of justified exceptions on defeasible axioms: reasoning in such framework is realized by a translation into ASP programs. The resulting reasoning process for OWL RL, however, introduces a complex encoding in order to capture reasoning on the negative information needed for reasoning on exceptions. In this paper, we apply the justified exception approach to knowledge bases in $\textit{DL-Lite}_{\cal R}$, i.e., the language underlying OWL QL. We provide a definition for $\textit{DL-Lite}_{\cal R}$ knowledge bases with defeasible axioms and study their semantic and computational properties. In particular, we study the effects of exceptions over unnamed individuals. The limited form of $\textit{DL-Lite}_{\cal R}$ axioms allows us to formulate a simpler ASP encoding, where reasoning on negative information is managed by direct rules. The resulting materialization method gives rise to a complete reasoning procedure for instance checking in $\textit{DL-Lite}_{\cal R}$ with defeasible axioms. Under consideration in Theory and Practice of Logic Programming (TPLP).



Abstract:Representation of defeasible information is of interest in description logics, as it is related to the need of accommodating exceptional instances in knowledge bases. In this direction, in our previous works we presented a datalog translation for reasoning on (contextualized) OWL RL knowledge bases with a notion of justified exceptions on defeasible axioms. While it covers a relevant fragment of OWL, the resulting reasoning process needs a complex encoding in order to capture reasoning on negative information. In this paper, we consider the case of knowledge bases in $\textit{DL-Lite}_{\cal R}$, i.e. the language underlying OWL QL. We provide a definition for $\textit{DL-Lite}_{\cal R}$ knowledge bases with defeasible axioms and study their properties. The limited form of $\textit{DL-Lite}_{\cal R}$ axioms allows us to formulate a simpler encoding into datalog (under answer set semantics) with direct rules for reasoning on negative information. The resulting materialization method gives rise to a complete reasoning procedure for instance checking in $\textit{DL-Lite}_{\cal R}$ with defeasible axioms.




Abstract:This paper is an appendix to the paper "Reasoning with Justifiable Exceptions in Contextual Hierarchies" by Bozzato, Serafini and Eiter, 2018. It provides further details on the language, the complexity results and the datalog translation introduced in the main paper.



Abstract:Systems for automatic extraction of semantic information about events from large textual resources are now available: these tools are capable to generate RDF datasets about text extracted events and this knowledge can be used to reason over the recognized events. On the other hand, text based tasks for event recognition, as for example event coreference (i.e. recognizing whether two textual descriptions refer to the same event), do not take into account ontological information of the extracted events in their process. In this paper, we propose a method to derive event coreference on text extracted event data using semantic based rule reasoning. We demonstrate our method considering a limited (yet representative) set of event types: we introduce a formal analysis on their ontological properties and, on the base of this, we define a set of coreference criteria. We then implement these criteria as RDF-based reasoning rules to be applied on text extracted event data. We evaluate the effectiveness of our approach over a standard coreference benchmark dataset.




Abstract:As the interest in the representation of context dependent knowledge in the Semantic Web has been recognized, a number of logic based solutions have been proposed in this regard. In our recent works, in response to this need, we presented the description logic-based Contextualized Knowledge Repository (CKR) framework. CKR is not only a theoretical framework, but it has been effectively implemented over state-of-the-art tools for the management of Semantic Web data: inference inside and across contexts has been realized in the form of forward SPARQL-based rules over different RDF named graphs. In this paper we present the first evaluation results for such CKR implementation. In particular, in first experiment we study its scalability with respect to different reasoning regimes. In a second experiment we analyze the effects of knowledge propagation on the computation of inferences.


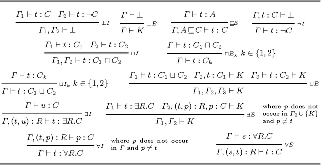
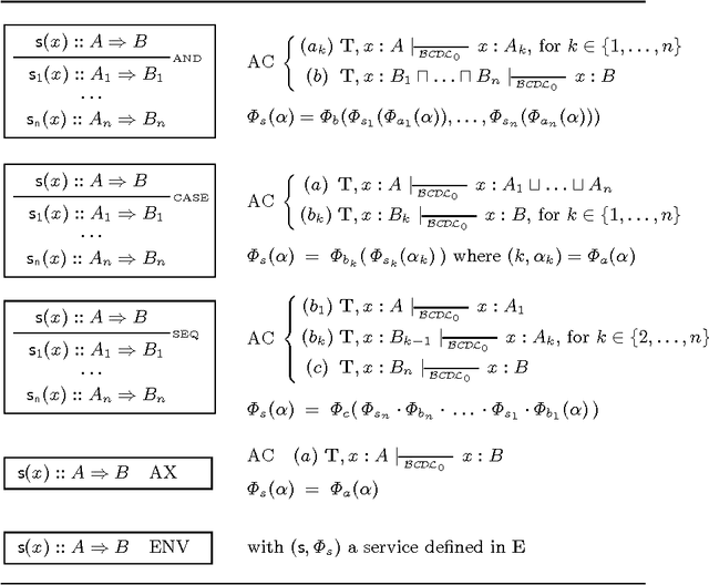
Abstract:The idea of the Semantic Web is to annotate Web content and services with computer interpretable descriptions with the aim to automatize many tasks currently performed by human users. In the context of Web services, one of the most interesting tasks is their composition. In this paper we formalize this problem in the framework of a constructive description logic. In particular we propose a declarative service specification language and a calculus for service composition. We show by means of an example how this calculus can be used to define composed Web services and we discuss the problem of automatic service synthesis.