Abstract:Large Language Models (LLMs) have achieved impressive progress in natural language processing, but their limited ability to retain long-term context constrains performance on document-level or multi-turn tasks. Retrieval-Augmented Generation (RAG) mitigates this by retrieving relevant information from an external corpus. However, existing RAG systems often rely on embedding-based retrieval trained on corpus-level semantic similarity, which can lead to retrieving content that is semantically similar in form but misaligned with the question's true intent. Furthermore, recent RAG variants construct graph- or hierarchy-based structures to improve retrieval accuracy, resulting in significant computation and storage overhead. In this paper, we propose an embedding-free retrieval framework. Our method leverages the logical inferencing ability of LLMs in retrieval using iterative search space refinement guided by our novel importance measure and extend our retrieval results with logically related information without explicit graph construction. Experiments on long-context QA benchmarks, including NovelQA and Marathon, show that our approach outperforms strong baselines while reducing storage and runtime by over an order of magnitude.




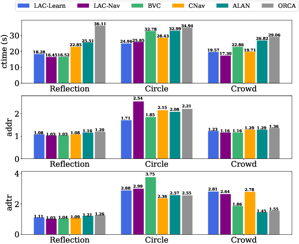
Abstract:Collision avoidance is one of the most primary requirement in the decentralized multiagent navigations: while the agents are moving towards their own targets, attentions should be paid to avoid the collisions with the others. In this paper, we introduce the concept of local action cell, which provides for each agent a set of velocities that are safe to perform. Based on the realtime updated local action cells, we propose the LAC-Nav approach to navigate the agent with the properly selected velocity; and furthermore, we coupled the local action cell with an adaptive learning framework, in which the effect of selections are evaluated and used as the references for making decisions in the following updates. Through the experiments for three commonly considered scenarios, we demonstrated the efficiency of the proposed approaches, with the comparison to several widely studied strategies.




Abstract:With the tide of artificial intelligence, we try to apply deep learning to understand 3D data. Point cloud is an important 3D data structure, which can accurately and directly reflect the real world. In this paper, we propose a simple and effective network, which is named PyramNet, suites for point cloud object classification and semantic segmentation in 3D scene. We design two new operators: Graph Embedding Module(GEM) and Pyramid Attention Network(PAN). Specifically, GEM projects point cloud onto the graph and practices the covariance matrix to explore the relationship between points, so as to improve the local feature expression ability of the model. PAN assigns some strong semantic features to each point to retain fine geometric features as much as possible. Furthermore, we provide extensive evaluation and analysis for the effectiveness of PyramNet. Empirically, we evaluate our model on ModelNet40, ShapeNet and S3DIS.